Hola tengo un problema con un ejercicio de algebra,sobre espacios vectoriales, quería saber si alguien me podria ayudar a continuar el ejercicio ya que me quede estancado... el enunciado es el siguiente:
Caracterizar por medio de ecuaciones los subespacios generados por los siguientes
conjuntos
(a) {(1, 0),(2, 3),(0, −5)}
(b) {(2, 1, −5),(1, 1, −1),(8, 5, −17)}
(NO logro adjuntar la imagen de lo que hice el ejercicio, pero una vez que expreso esos vectores como combinacion lineal, hago la matriz ampliada y no me queda ninguna ecuacion igualada a cero)

(a)
Primero plantea la "combinación lineal nula" para determinar si los tres vectores son linealmente independientes:
a(1,0) + b(2,3) + c(0,-5) = (0,0),
desarrollas y llegas al sistema de ecuaciones:
a + 2b = 0, de aquí despejas: a = - 2b (1)
3b - 5c = 0, de aquí despejas: c = (3/5)b (2),
luego tienes que el sistema tiene infinitas soluciones, ya que no has podido despejar b, que quedan expresadas con las ecuaciones señaladas (1) (2), con b ∈ R.
Luego, retiras el vector asociado a b en la combinación lineal nula y quedan los vectores (1,0) y (0,-5), que conforman una base del subespacio:
BS = { (1,0) , (0,-5) }, cuya dimensión es: dim(S) = |BS| = 2,
por lo que tienes que el subespacio es: S = R2 (recuerda que R2 es subespacio de sí mismo).
(b)
Primero plantea la "combinación lineal nula" para determinar si los tres vectores son linealmente independientes:
a(2,1,-5) + b(1,1,-1) + c(8,5,-17) = (0,0,0),
desarrollas y llegas al sistema de ecuaciones:
2a + b + 8c = 0, de aquí despejas: b = - 2a - 8c (1)
a + b + 5c = 0
-5a - b - 17c = 0,
sustituyes la expresión señalada (1) en las dos últimas ecuaciones y quedan:
- a - 3c = 0, de aquí despejas: a = - 3c (2)
-3a - 9c = 0,
sustituyes en la última ecuación y queda:
9c - 9c = 0, resuelves y queda: 0 = 0, que es una identidad verdadera,
luego tienes que el sistema tiene infinitas soluciones, ya que no has podido despejar c,
luego, sustituyes la expresión señalada (2) en la ecuación señalada (1) y queda:
a = - 3c, b = - 2c, c ∈ R;
Luego, retiras el vector asociado a c en la combinación lineal nula y quedan los vectores (2,1,-5) y (1,1-1), que conforman una base del subespacio:
BS = { (2,1,-5) , (1,1-1) }, cuya dimensión es: dim(S) = |BS| = 2.
Luego, para determinar ecuaciones que caractericen al subespacio, plantea la "combinación lineal general".
a(2,1,-5) + b(1,1,-1) = (x,y,z)
desarrollas y queda el sistema:
2a + b = x, de aquí despejas: b = x - 2a (1)
a + b = y
-5a - b = z,
luego sustituyes la expresión señalada (1) en las dos últimas ecuaciones y queda:
-a + x = y, de aquí despejas: x - y = a (2)
-3a - x = z
luego sustituyes la expresión señalada (2) en la última ecuación y queda:
- 3x + 3y - x = z, haces pasaje de término, reduces términos semejantes y queda:
- 4x + 3y - z = 0.
Luego, el subespacio queda expresado:
S = { (x,y,z) ∈ R3 / - 4x + 3y - z = 0 }.
Espero haberte ayudado.
saludos unicoos!!!!! les escribo desde Bolivia. vengo con una duda que es la siguiente:
dada la ecuación x^2-4x dividido entre 8x-4 es = a m-1 dividido entre m+1 el valor de m para que sus raices sean iguales en magnitud, pero de signos contrcontrarios; es:
espero que alguien me pueda ayudar, gracias y saludos.
Muy buenas. Tengo un problema, y es que no sé como averiguar el dominio, recorrido, puntos de discontinuidad, etc. de las funciones. ¿Alguien podría ayudarme? Aquí os dejo un ejemplo:
f(x) = x^2 - 1 / x + 1.
¡Muchas gracias de antemano!
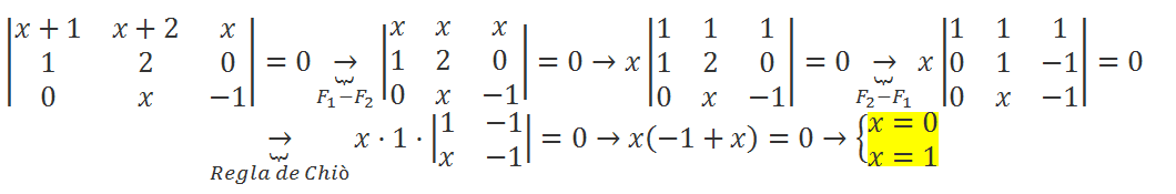
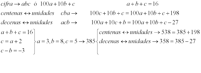
Hola. Este ejercicio no lo termino de entender.
Es decir he sabido que la opción correcta es la a porque el resto de opciones la suma de sus cifras es distinta a 16. Pero en el caso de que me. Dieran otra opción que sumarán 16... No sabría calcularla.
Alguien me echa una mano con el proceso?
A la hora de plantear las ecuaciones e intentar hacer un sistema al no estar multiplicandose no se como operar.
O solo tiene solución este ejercicio si te lo ponen a huevo como en este caso?
Gracias!!
Un tren transporta 560 viajeros que realizan el mismo trayecto. La recaudación del importe de sus billetes asciende a 39.600 €. Calcula cuántos viajeros han pagado el importe total del billete (90 €), cuántos se han beneficiado de un descuento del 50% y cuántos han pagado el 60% del precio del billete, sabiendo que el número de viajeros que ha pagado el billete completo es el triple del que ha pagado el 60% del mismo.
COMO SE HACE EL PROCESO LO NECESITO CLARO MUCHAS GRACIAS UNICOS