En este ejercicio de matrices y sus propiedades estoy seguro que la falsa es la a) pero sin embargo he creado unas tres matrices de distinto tamaño y he hecho las operaciones pertinentes para comprobar esas propiedades y en todos los casos se cumplen len las tres propiedades.
Me. Podríais decir en que caso la opción a no se cumple?
Gracias!
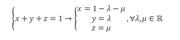
Me he atascado en este ejercicio: encuentra las soluciones del siguiente sistema:
x+y+z=1
x+y+z=1
x+y+z=1
Me dan tres veces la misma equación no se si poner dos parametros.
Me gustaría saber la solución.
Muchas gracias
¿Me podríais resolver este ejercicios de números índice? No llego a entender nada del ejercicio... gracias!!!

¡Hola! Nos encantaría ayudarte, pero no solemos responder dudas universitarias que no tengan que ver específicamente con los vídeos que David ha grabado como excepción. O de otras asignaturas que no sean Matemáticas, Física y Química. Lo sentimos de corazón… Esperamos que lo entiendas.
Ojalá algún unicoo universitario se anime a ayudarte (de hecho, lo ideal es que todos los universitarios intentarais ayudaros los unos a los otros).
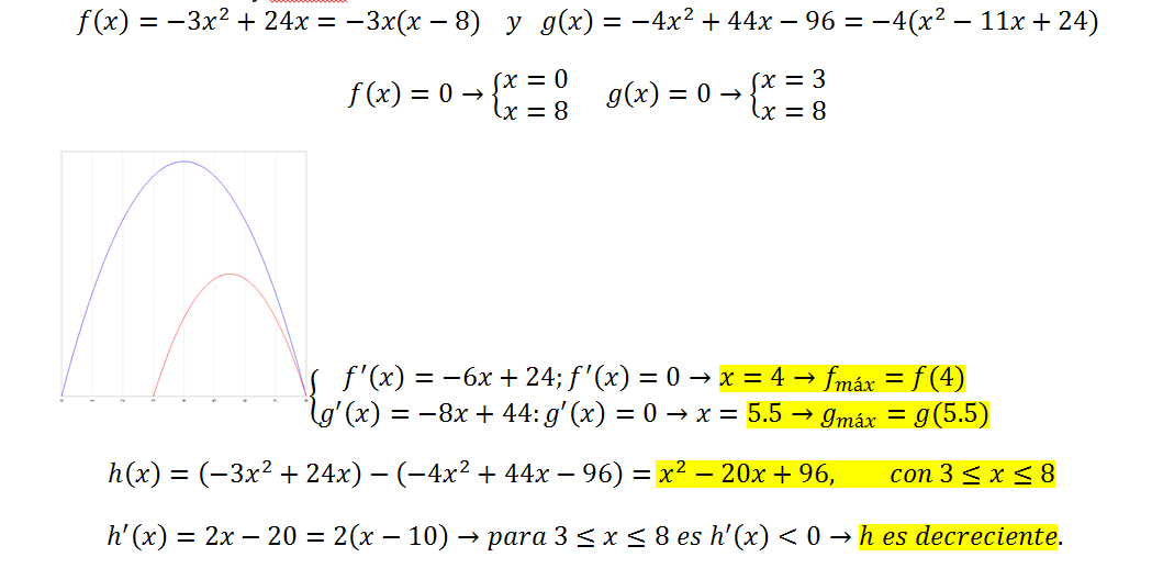
¿Cómo resolver la 2ª parte de este ejercicio?
Se estima que el número de enfermos de gripe en una ciudad en el instante x está definido por la función f(x) = −3x2+24x, siempre que ésta sea positiva. La variable x se mide en semanas. Los instantes en que f(x) =0 marcan el intervalo de definición de f(x) y la duración de la epidemia. El número de enfermos hospitalizados se estima por la función g(x) = −4x2+44x −96 cuando ésta sea positiva y g(x) = 0 en caso contrario.
a) Esboza una gráfica de cada una de las funciones f(x) y g(x) e indica en qué puntos alcanzan su máximo cada una de ellas.
b) El número de personas enfermas de gripe que permanecen en su casa se estima mediante la función h(x) = f(x) − g(x). Escribe la expresión de la función h(x) e indica cuándo es creciente y cuándo decreciente.
Muchas gracias.
Se estima que el número de enfermos de gripe en una ciudad en el instante x está definido por la función f(x) = −3x2+24x, siempre que ésta sea positiva. La variable x se mide en semanas. Los instantes en que f(x) =0 marcan el intervalo de definición de f(x) y la duración de la epidemia. El número de enfermos hospitalizados se estima por la función g(x) = −4x2+44x −96 cuando ésta sea positiva y g(x) = 0 en caso contrario.
a) Esboza una gráfica de cada una de las funciones f(x) y g(x) e indica en qué puntos alcanzan su máximo cada una de ellas.
b) El número de personas enfermas de gripe que permanecen en su casa se estima mediante la función h(x) = f(x) − g(x). Escribe la expresión de la función h(x) e indica cuándo es creciente y cuándo decreciente.


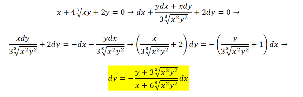
Eso no esta bien escrito lo debes tener mal copiado!! En una diferencial tenes que tener la derivada primera (si es de primer orden).De esa derivada sabes que es dy/dx.Pones todo lo q tiene "x" de un lado y todo lo que tiene "y" del otro.Integras y listo. Eso que tenes ahi es una ecuacion de 2 incognitas igualadas a cero.
Otra cosa...cuando tenes una raiz (en este caso raiz de 3 ) podes elevar lo de adentro de la raiz a 1/3.Te quedaria asi : (xy)∧1/3. Para las ecuaciones diferenciales es bueno saber las reglas de potenciacion,ya que asi podras dar vuelta varios terminos y integrar mas facil,saludos!