Hola. ¿Pueden ayudarme con este ejercicio?
Apliqué la suma de progresión geométrica,
pero no sé como llegar a la respuesta.
Buenas tardes!!
Podrían resolverme estas derivadas , no tengo las soluciones y por tanto no sé si las he realizado correctamente
GRACIAS
Hola, buenas tardes, os agradecería mucho que me ayudaseis a entender los problemas del tipo: "un tren A sale de cierto punto a ""x"" hora y un tren B desde otro punto a cierta hora. si la via tiene x kilometros, ¿a que hora se encuentran?
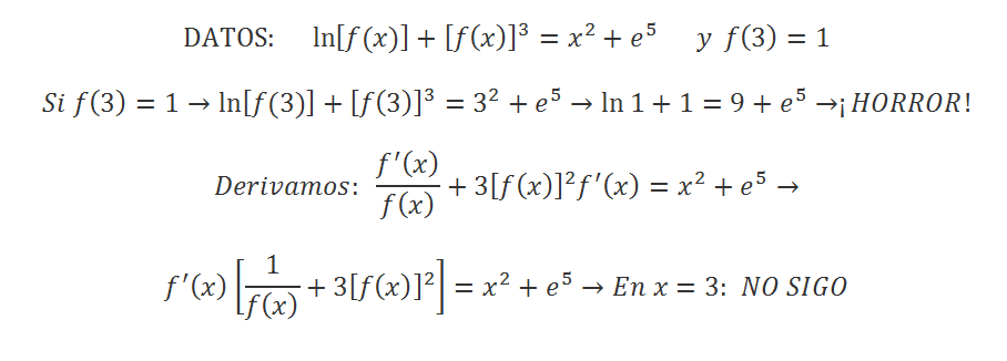
Buenas tardes! Alguien podría decirme cuál es la derivada de 2∧(-x)
Muchas gracias!!
Su derivada es: -2^-x · ln(2)
La derivada de a^x= a^x · ln (a) ---> 2^x· ln (2)
Pero como en este caso es 2^-x se tiene que aplicar la regla de la cadena, derivando -x=-1 y multiplicandolo por su derivada, entoncees da --> -2^-x· ln (2)
Diria que es así, lo he comprobado en esta página: http://experymente.blogspot.com.es/2012/11/calculadora-de-integrales-y-derivadas.html
Espero que te sirva!!

a) Tienes la expresión del elemento general:
an = 1 - n2
Luego, se trata que reemplaces valores del índice n, desde 1 hasta 5:
a1 = 1 - 12 = 1 - 1 = 0,
a2 = 1 - 22 = 1 - 4 = - 3,
a3 = 1 - 32 = 1 - 9 = - 8,
a4 = 1 - 42 = 1 - 16 = - 15,
a5 = 1 - 52 = 1 - 25 = - 24.
b) Tienes el primer elemento, y la expresión general para elementos desde el segundo en adelante.
Luego, se trata que reemplaces valores de n desde 2 a 5, además del elemento anterior en cada caso:
b1 = 10,
b2 = b1 + 1 = 10 + 1 = 11,
b3 = b2 + 2 = 11 + 2 = 13,
b4 = b3 + 3 = 13 + 3 = 16,
b5 = b4 + 4 = 16 + 4 = 20.
Espero haberte ayudado.
 hola muy buenas podrían ayudarme con el dos, simplemente necesito hallar los máximos y mínimos el resto lo entiendo pero creo que calculo mal la derivada
Quería consultar una duda con esta pregunta a César Borgia:
Algunas operaciones matemáticas complejas son poco eficientes si se realizan mediante software y se recurre a módulos específicos que realicen la operación en hardware. Implementa la función x^2 con un módulo que acepte números en complemento a dos de 3 bits y devuelva números en binario puro (recuerde que el cuadrado de un número siempre es positivo).
¿Cuántas salidas tiene el sistema? ¿Por qué?
Tabla de verdad
Implementar el circuito con un decodificador 3 a 8 con salidas activas a nivel bajo y puertas AND
Repetir el diseño expresando las funciones de salida como productos de sumas
yo consideré el complemento a 2 para los números negativos, por lo tanto la salida solo tendrá el valor de 1 para las combinaciones que representan con números negativos ¿eso es cierto?
Gracias
Hola. ¿Pueden ayudarme a resolver este problema? usando la regla del trapecio, para obtener un valor aproximado.
Lo he intentado varias veces pero no me sale la respuesta que me colocan![]()

¡Hola! Nos encantaría ayudarte, pero no solemos responder dudas universitarias que no tengan que ver específicamente con los vídeos que David ha grabado como excepción. O de otras asignaturas que no sean Matemáticas, Física y Química. Lo sentimos de corazón… Esperamos que lo entiendas.
Ojalá algún unicoo universitario se anime a ayudarte (de hecho, lo ideal es que todos los universitarios intentarais ayudaros los unos a los otros).