
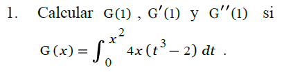
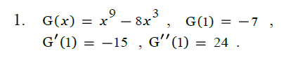
¡Hola! Nos encantaría ayudarte, pero no solemos responder dudas universitarias que no tengan que ver específicamente con los vídeos que David ha grabado como excepción. O de otras asignaturas que no sean Matemáticas, Física y Química. Lo sentimos de corazón… Esperamos que lo entiendas.
Ojalá algún unicoo universitario se anime a ayudarte (de hecho, lo ideal es que todos los universitarios intentarais ayudaros los unos a los otros).

¡Hola! Nos encantaría ayudarte, pero no solemos responder dudas universitarias que no tengan que ver específicamente con los vídeos que David ha grabado como excepción. O de otras asignaturas que no sean Matemáticas, Física y Química. Lo sentimos de corazón… Esperamos que lo entiendas.
Ojalá algún unicoo universitario se anime a ayudarte (de hecho, lo ideal es que todos los universitarios intentarais ayudaros los unos a los otros).
Hola, mi duda está relacionada con el video: EDO 02 Ecuación diferencial de primer orden UNIVERSIDAD.
Cuando integran colocan la constante "C" al lado izquierdo, yo lo realicé colocandola al lado derecho pero no me da el mismo resultado. ¿Es válido esto o tengo yo un error en mi procedimiento?
Adjunto foto del procedimiento realizado en el video y de lo que desarrollé yo.


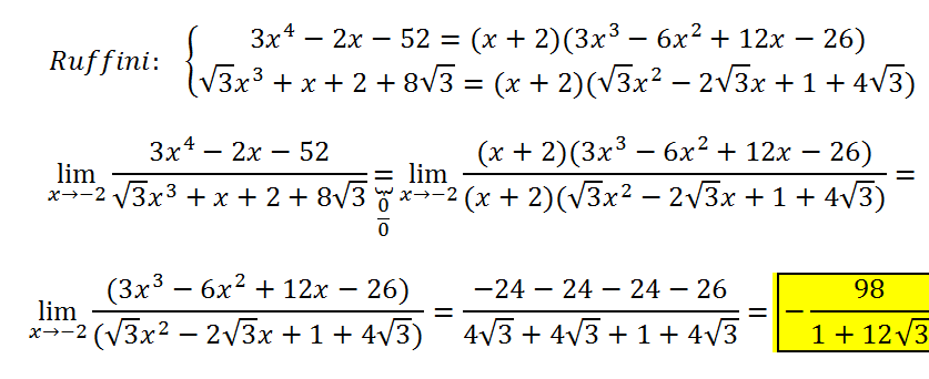
Que tal, tengo una duda, al convertir de la forma general a ordinaria la siguiente ecuación de le elipse 25x^2+y^2+250x-2y+601=0 me dio como resutado (x+5)^2 /5 + (y-1)^2 / 25 =1. Pero al momento de graficarlas, me debería salir la misma elipse, cosa que no es así. Aquí esta mi proceso, pero la verdad no encuentro el error.
¿Me pueden ayudar?

Observa que ebes corregir.
Tienes la ecuación cartesiana implícita:
25x2 + y2 + 250x - 2y + 601 = 0,
haces pasaje de término, ordenas términos, extraes factor común 25 en los términos con incógnita x y queda:
25(x2 + 10x) + (y2 - 2y) = - 601,
sumas y restas 25 en el primer agrupamiento, sumas y restas 1 en el segundo agrupamiento, y queda:
25(x2 + 10x + 25 - 25) + (y2 - 2y + 1 - 1) = - 601,
factorizas los trinomios cuadrados perfectos y queda:
25( (x + 5)2 - 25 ) + ( (y - 1)2 - 1 ) = - 601,
distribuyes agrupamientos sin alterar binomios elevados al cuadrado y queda:
25(x + 5)2 - 625 + (y - 1)2 - 1 = - 601,
haces pasajes de términos numéricos y queda:
25(x + 5)2 + (y - 1)2 = 25,
divides por 25 en todos los términos de la ecuación y queda:
(x + 5)2 + (y - 1)2/25 = 1,
que es la ecuación canónica de una elipse cuyos elementos son:
C(-5,1) (centro de simetría),
x = - 5 (eje principal de simetría, paralelo al eje OY),
y = 1 (eje secundario de simetría, paralelo al eje OX),
a = √(25) = 5 (longitud del semieje mayor),
b = √(1) = 1 (longitud del semieje menor),
c = √(a2 - b2) = √(25 - 1) = √(24) (longitud del semieje focal).
Espero haberte ayudado.
hola una pregutna si tengo las primera y segunda evaluacion aprobada pero la tercera suspendidas con un 4 pero la 1 y la 2 con un 5 y 6 me va a quedar para semptiembre mates ?

Todos los centros de secundaria y bachillerato están obligados, por ley, a incluir en los currículos de cada asignatura los criterios de evaluación, y que estos sean claros y públicos. Infórmate en tu Centro y reclama tus derechos, si piensas que no han sido convenientemente respetados.

¡Hola! Nos encantaría ayudarte, pero no solemos responder dudas universitarias que no tengan que ver específicamente con los vídeos que David ha grabado como excepción. O de otras asignaturas que no sean Matemáticas, Física y Química. Lo sentimos de corazón… Esperamos que lo entiendas.
Ojalá algún unicoo universitario se anime a ayudarte (de hecho, lo ideal es que todos los universitarios intentarais ayudaros los unos a los otros).