Foro de preguntas y respuestas de Matemáticas

logo beUnicoos
Los foros de unicoos se han unificado en nuestra nueva plataforma beUnicoos. Para dejar nuevas preguntas deberás hacerlo allí, donde además podrás encontrar nuevas asignaturas y herramientas para ayudarte más con tus estudios.

  • icon

    Maria
    el 11/6/17

    Hola! ¿Me podrían resolver esta ecuación?

    cos2x -√3•senx•cosx=0

    replythumb_up0 voto/sflag
    icon

    Antonius Benedictus
    el 11/6/17


    thumb_up0 voto/sflag
  • icon

    Francisco Bk Gtz
    el 11/6/17

    Es correcto el sig. Limite?

    replythumb_up0 voto/sflag
    icon

    Antonius Benedictus
    el 11/6/17

    Perfecto, Francisco.

    thumb_up0 voto/sflag
  • icon

    Paula Sánchez
    el 11/6/17

    hola¡¡ tengo una duda existencial, en la ESO y en los vídeos de unicoos, habéis dicho que CONVACA ES LA CURVA HACIA ABAJO (sonriente) y CONVEXA HACIA ARRIBA (triste). Pues este año en 1bachiller, me han dicho todo lo contrario, CÓNCAVA (HACIA ARRIBA=TRISTE) y CONVECA HACIA ABAJO( SONRIENTE)


    COMO ES ENTONCES??????????????????????????????????????????????

    replythumb_up0 voto/sflag
    icon

    César
    el 11/6/17

    si hay varios criterios, tranquila.

    Tambieb se dice para evitar eso concava hacia arriba  o hacia abajo

    thumb_up0 voto/sflag
  • icon

    Guillem De La Calle Vicente
    el 11/6/17

    Considera el enunciado

    (*) Si x e y son números reales que x²+6y²=25 e y²+x=3, entonces |y|=2.

    De las hipótesis, ¿podemos deducir lo siguiente?

    y²=3-x.

    ¿Permite alcanzar la conclusión del enunciado anterior (*)?

    replythumb_up0 voto/sflag
    icon

    César
    el 11/6/17

    Podemos deducir que su interseccion es y=2  y    y=-2


    thumb_up0 voto/sflag
  • icon

    LUKWILL _02
    el 11/6/17

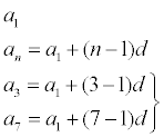
    Hola, si en una progresión aritmetica no me dan A1 como hago el An y Sn.

    Gracias.

    replythumb_up0 voto/sflag
    icon

    César
    el 11/6/17

    te darán algo de la progresion , no?


    thumb_up0 voto/sflag
    icon

    LUKWILL _02
    el 11/6/17

    Si me dan A3 y A7

    thumb_up0 voto/sflag
    icon

    César
    el 11/6/17

    vale pon enunciado y lo hacemos


    thumb_up0 voto/sflag
    icon

    César
    el 11/6/17


    thumb_up0 voto/sflag
  • icon

    Álex Rodri Guti
    el 11/6/17

    Buenas,tengo una duda sobre interpolación lineal.

    El enunciado dice así:

    Determina la función lineal de interpolación que pasa por los puntos (-3,1) y (10,2).Interpolación el valor x=2

    Saludos y gracias.

    replythumb_up0 voto/sflag
    icon

    César
    el 11/6/17

    te dejo la recta para que compruebes 

    -x+13y=16

    thumb_up0 voto/sflag
  • icon

    Ainhoa
    el 11/6/17
    flag

    Si tengo un circuito que tiene tres resistencias dos estan en serie (R1, R2) pero a la vez en paral·lelo con la otra (R3) como puedes calcular la potencia de cada una?

    RI=  20 ohms

    R2= 20 ohms

    R3= 20 ohms

    Rt= 13,3 ohms.

    It= 0,75 A

    V= 10V

    t= 2h

    replythumb_up0 voto/sflag
    icon

    César
    el 11/6/17


    thumb_up0 voto/sflag
    icon

    César
    el 11/6/17

    La potencia P=V*I     P=RI^2

    thumb_up0 voto/sflag
  • icon

    Yessenia Montes Villegas
    el 11/6/17

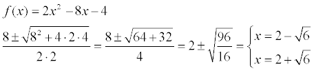
    hola pueden ayudarme con este ejercicio por favor hallar los ceros de la funcion polinomica 2x2 -8x-4
    f(x)=2x2−8x−4

    replythumb_up0 voto/sflag
    icon

    Mario
    el 11/6/17

    Podeis hayar las raices de dicha funcion.  es decir cuando se hacen cero. 

    Es decir cuando la funcion corta con el eje de las x, 

    Estos puntos podes hallarlo por el metodo de Bhaskara. 



    thumb_up0 voto/sflag
    icon

    César
    el 11/6/17


    thumb_up0 voto/sflag
  • icon

    Guillem De La Calle Vicente
    el 11/6/17

    Da dos consecuencias de la hipótesis siguiente:

    la función x2+2x corta la recta y=2x+1.

    replythumb_up0 voto/sflag
    icon

    Mario
    el 11/6/17

    Podes hallar la pendiente quizas, y iun punto de corte.

    thumb_up0 voto/sflag
  • icon

    Alejandro Ballesteros
    el 11/6/17

    Pueden resolver el 2 por favor simplemente necesito la derivada y máximos y mínimos 

    replythumb_up0 voto/sflag
    icon

    César
    el 11/6/17

    te va la grafica, y se ve bien como es la funcion


    Representación gráfica


    thumb_up0 voto/sflag
    icon

    Antonius Benedictus
    el 11/6/17


    thumb_up0 voto/sflag