Hola, tengo una duda, al estudiar la continuidad de la siguiente función, ¿puedo decir que es continua en todo su dominio, a pesar de presentar algún punto de discontinuidad?
Gracias!!

Observa que el dominio de la función es D = R.
Pero observa que no es continua en x = 0, y si lo es en x = 1, que son los puntos de corte entre trozos
Luego, la función resulta continua en Dc = R - {0}.
Continuidad en x = 0:
1) f(0) = 02 = 0
2) Límites laterales:
Lím(x→0-) f(x) = Lím(x→0-) (x +2) = 2,
Lím(x→0+) f(x) = Lím(x→0+) (x2) = 0
3) Conclusión:
Como los límites laterales no coinciden, el límite para x tendiendo a cero no existe, y tienes que la gráfica de la función presenta discontinuidad esencial, o invevitable, en este caso tipo salto, en x = 0.
Continuidad en x = 1:
1) f(1) = 12 = 1
2) Límites laterales:
Lím(x→1-) f(x) = Lím(x→0-) (x2) = 1,
Lím(x→0+) f(x) = Lím(x→0+) (1) = 1
3) Conclusión:
Como los límites laterales si coinciden, tienes que el límite para x tendiendo a uno de la función es igual a uno, y tienes que la gráfica de la función es continua en x = 1.
Por último, observa que la función es continua para cualquier valor real x distinto de cero.
Espero haberte ayudado.

Si hay un punto del dominio de la función en donde no es continua entonces es lógico decir que NO es continua en todo su dominio.
En tu ejercicio la función no es continua en x=0 ya que los límites laterales son diferentes y por lo tanto no existe.
Cero pertenece al dominio de la función y allí no es continua por lo tanto no es continua en todo su dominio
unicoos, tengo un problema con un ejercicio de continuidad, derivabilidad, etc.. de un examen ordinario de la universidad que no nos quisieron resolver, me podrias ayudar?
1) Sea f(x)= ln(1+x)/(1-x) a) Comprueba que Dom(f)=(-1,1) y determina los cortes con los ejes (si los tiene)
b) Calcula lim
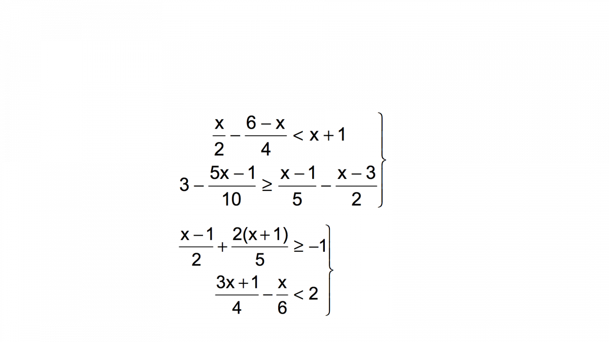
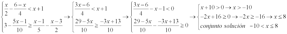
Resolver los siguientes sistemas de inecuaciones de 1er grado con una incógnita, indicando la solución de dos formas distintas: mediante intervalos, y representando en la recta real: