Este ejercicio me salió en un examen y no supe ni comenzarlo porque no te dan ni una equacion ni nada, solo las raíces, por favor ayudadme con este:
Sabemos que un polinomio tiene por raíces el 0, el 3 y el -2. Da 2 divisores de este polinomio que sean de primer grado y dos que sean de segundo grado.
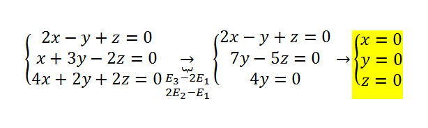
Hola, este ejercicio me trae de cabeza. he intentado discutir el sistema mirando el rango de la matriz y de la ampiada, con las condiciones que dice ahi.
En el apartado de a, me sale que la matriz ampliada tiene rango 3 y la normal 2.
En el apartado b igual. tambien sistema incompatible.
en el apartado c me sale que las dos tienen rango 2, y como tiene tres ecuaciones y tres incognitas, es un sistema compatible determinado, por lo tanto no es correcta la solucion.
El d no me cuadra por lo escrito en el apartado c.
Tambien creo que he utilizado un camino demasiado largo porque he tartado un buen rato en llegar a la solucion. Un saludo.
Ιln(x)Ι pasar a trozos!!

Tienes la expresión cuyo dominio es: D = (0,+∞) (observa que es creciente y que admite función inversa, que también es creciente) y cuya expresión es:
f(x) = |lnx|
Luego, y de acuerdo a la definición de valor absoluto, tienes:
f(x) =
lnx si lnx ≥ 0 (1)
- lnx si lnx < 0 (2)
Luego, estudiampos las inecuaciones señaladas:
(1)
lnx ≥ 0, compones en ambos miembros con la función inversa del logaritmo natural y queda:
elnx ≥ e0, resuelves en ambos miembros y queda:
x ≥ 1
(2)
lnx < 0, compones en ambos miembros con la función inversa del logaritmo natural y queda:
elnx < e0, resuelves en ambos miembros y queda:
x < 1
Luego, volvemos a la expresión a trozos de la función:
f(x) = |lnx| =
lnx si x ≥ 1
- lnx si 0 < x < 1
Espero haberte ayudado.
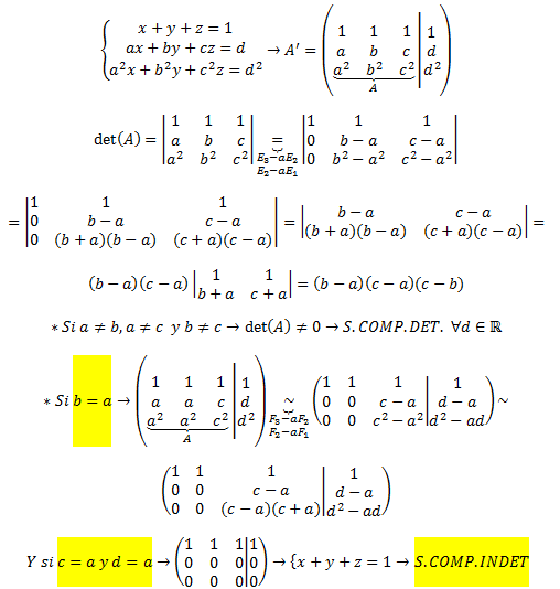
Hola ,sera que alguien me pueda echar la mano con esto por favor.
Según la información anterior ,determine el conjunto de solución del sistema usando el método de Gauss-Jordan
Muchas Gracias de ante mano.

Juraría que ese problema se puede hacer con GAUSS. Puedes buscar en el canal de Unicoos como funciona este sistema pero te lo explico rápidamente ya que es muy sencillo.
GAUSS, es un sistema aparte del de reducción, igualación y substitución, que permite calcular los valores de las incógnitas cuando no puedes utilizar estos anteriores.
Se suele usar cuando tienes 3 incógnitas y también tres ecuaciones donde en ninguna puedes aislar para utilizar el de substitución.
EL objetivo de este sistema es conseguir en una fila dos 0 y en otra sólo 1 cero. Para ello hay que ir jugando con las ecuaciones. Busca en unicoos un vídeo de esto que hay muchos.
Hola, podrían ayudarme con este ejercicio de cálculo de área que cayó hoy en la prueba de EBAU de Canarias?
Calcular el área de la región del plano limitada por las siguientes rectas:
y=3x
y=x
y=-x+8
x=3

Yo también me preparo para la universidad y tengo mas o menos claro eso. para calcularlo tienes que representar esas funciones y el área que salga entre ellas es la que tendrás que calcular. Para calcularla se usa la integral definida, y se necesita saber integrar muy bien para hacerlo. Busca en unicoos, en youtube Integral definida y calculo de áreas con la integral definida. Te ayudaran bastante (a mi me ayudaron).
Podrían mandarme un vídeo de como hacer expresiones algebraicas para 1 de eso las de 2 de eso no me sirven ya que salen cosas que yo no he dado,gracias