Foro de preguntas y respuestas de Matemáticas

logo beUnicoos
Los foros de unicoos se han unificado en nuestra nueva plataforma beUnicoos. Para dejar nuevas preguntas deberás hacerlo allí, donde además podrás encontrar nuevas asignaturas y herramientas para ayudarte más con tus estudios.

  • icon

    DueFreitas
    el 6/6/17

    Profe me ayuda con este problema de Optimizacion. 

    Dado un triangulo isosceles de base 8cm y altura 5cm, calcular las dimensones del rectangulo de area maxima que puede inscribirse dentro de dicho triangulo.

    replythumb_up0 voto/sflag
    icon

    Antonius Benedictus
    el 6/6/17

    Te va uno similar:


    thumb_up1 voto/sflag
  • icon

    Nuria
    el 6/6/17

    Hola, tengo una duda con las cónicas, se que la ecuación de la hipérbola es :

    (X/a) 2 - (y/b)2  = 1 

    Pero en ocasiones me encuentro la x y la y dadas la vuelta es decir:

    (y/b) 2 - (x/a) 2 =1 

    ¿Alguien me puede decir por que pasa esto?


    replythumb_up0 voto/sflag
    icon

    Antonius Benedictus
    el 6/6/17

    http://www.vitutor.com/geo/coni/h_4.html

    thumb_up0 voto/sflag
    icon

    Facu Imfeld
    el 7/6/17

    Es la misma hipérbola pero cambia su orientación

    thumb_up0 voto/sflag
  • icon

    Miriam
    el 6/6/17

    Resultado de imagen de como se calcula la altura de un triángulo escalenocomo se calcularía h?

    replythumb_up0 voto/sflag
    icon

    Antonius Benedictus
    el 6/6/17

  • icon

    Alex
    el 6/6/17

    ¿Cómo se resolvería esta derivada?(Sen2x)cosx

    En este caso no sé si se trata del tipo a^x o de x^a

    Gracias.

    replythumb_up0 voto/sflag
    icon

    Antonius Benedictus
    el 6/6/17

  • icon

    Miriam
    el 6/6/17

    Hola, necesito ayuda. No me ha quedado muy claro como se calcula la altura de un triangulo escaleno.   Me podríais ayudar  PORFAVOR??         MAÑANA TENGO EXAMEN DE ESTO MAÑANA

    replythumb_up0 voto/sflag
    icon

    Antonius Benedictus
    el 6/6/17

    Pon un ejercicio, pues depende del contexto.

    thumb_up0 voto/sflag
  • icon

    Carlos José Guillén Colón
    el 6/6/17

    Buenas Tardes Señores, necesitamos, ayuda,ya que mañana tenemos un parcial, y debido a las marchas en Venezuela, hemos perdido demasiadas clases de limites, (específicamente las clases con logaritmo natural, la exponencial y con exponenciales elevados con otra función),  nos pudieran pasar vídeos o ejercicios, para poder practicar y algunas bases. Y algunos ejercicios.Los ejercicios son de este estilo, no me gustaría que los resolvieran, si no que me dieran algunos tips o bases a saber para realizarlos. Por favor de verdad necesito ayuda, reitero no me gustaría que los hicieran si no que me pasaran ejercicios similares y tips para hacerlos

    replythumb_up0 voto/sflag
    icon

    Antonius Benedictus
    el 6/6/17

    thumb_up1 voto/sflag
    icon

    Carlos José Guillén Colón
    el 6/6/17

    El problema es que no nos han dado L'hospital, ni derivadas solo limites :(


    thumb_up0 voto/sflag
    icon

    Antonius Benedictus
    el 6/6/17

    Pues muchos de esos límites, sin poder usar derivación, son del currículo universitario. Tampoco sé si conocéis los límites singulares y los infinitésimos equivalentes. En fin, que nos va a resultar complicado ayudaros. Lo sentimos un montón.

    thumb_up1 voto/sflag
    icon

    Carlos José Guillén Colón
    el 6/6/17

    Profe se que sera de mucha molestia, pero podría pasarme los limites infinitésimos, algunos y con eso me valgo, y de verdad muchas gracias de Antemano. :)


    thumb_up0 voto/sflag
    icon

    Ángel
    el 7/6/17


    thumb_up1 voto/sflag
    icon

    Carlos José Guillén Colón
    el 7/6/17

    Muchisimas Gracias :)

    thumb_up0 voto/sflag
  • icon

    Jon Aginaga
    el 6/6/17

    ¿Buenas, cómo se resolvería este problema?

    Si en una sucesión de números naturales:

    1,2,3,4,5,6,7...

    se suprimen los cuarenta primeros múltipos de 5, queda una nueva sucesión. Calcula la suma de los 160 primeros términos de la nueva sucesión.

    replythumb_up0 voto/sflag
    icon

    Antonius Benedictus
    el 6/6/17

    Hola, Jon. Espero que sea esto:


    thumb_up0 voto/sflag
  • icon

    Laura Viñuela
    el 6/6/17

    Preparándome para el examen de derivadas  , he llegado a realizar todos los pasos pertinentes para resolver la siguiente derivada (y=(3x-x3+1)4 . pero a la hora del resultado final , no me sale lo que dicta en el solucionario, he revisado los pasos mas de 10 veces y no encuentro el fallo . seria de gran ayuda que me ayudaseis con mi problema


    replythumb_up0 voto/sflag
    icon

    Ángel
    el 6/6/17

    f(x)= y=(3x-x3+1)4

    f´(x) = 4*(3x-x3+1)3*(3-3x2)=          4*(3-3x2)*(3x-x3+1)3=          (12-12x2)*(3x-x3+1)3


    Manda lo que tienes hecho y te decimos en qué has fallado si quieres. Tienes que utilizar la regla de la cadena, hay bastantes vídeos relativos a este tema.


    thumb_up1 voto/sflag
    icon

    Laura Viñuela
    el 6/6/17

    Habia olvidado el uno al derivar, gracias 

    thumb_up0 voto/sflag
  • icon

    Michael
    el 6/6/17

    Me podéis poner un problema resuelto sobre perímetros y áreas? Problemas ''cuotidianos'' sobre eso porqué tengo exámen de 3aval. y sale.

    PD: Estoy en 1 ESO


    replythumb_up0 voto/sflag
    icon

    Francisco Gutiérrez Mora
    el 6/6/17

    Ahí, te subo una dirección muy práctica. Saludos.

    http://www.vitutor.com/geo/esp/vActividades.html

    thumb_up0 voto/sflag
  • icon

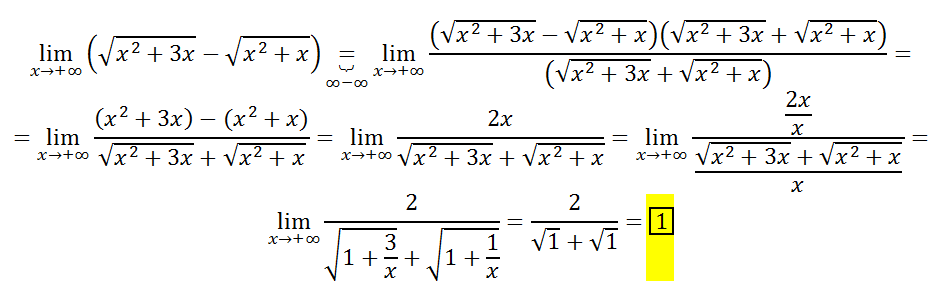
    Marc Barrera Porredon
    el 6/6/17

    me podeis resolver el limite (√x^2+3x   -  √x^2+x). La x tiende a infinito.

    replythumb_up0 voto/sflag
    icon

    Antonius Benedictus
    el 6/6/17


    thumb_up0 voto/sflag