
¡Hola! Nos encantaría ayudarte, pero no solemos responder dudas universitarias que no tengan que ver específicamente con los vídeos que David ha grabado como excepción. O de otras asignaturas que no sean Matemáticas, Física y Química. Lo sentimos de corazón… Esperamos que lo entiendas.
Ojalá algún unicoo universitario se anime a ayudarte (de hecho, lo ideal es que todos los universitarios intentarais ayudaros los unos a los otros).
El problema de las torres de Hanoi. En un tablón tenemos clavados tres postes verticales. En uno de ellos, el poste A, hemos colocado n discos en orden creciente de tamaño de arriba hacia abajo. Los queremos pasar al palo B utilizando el palo C. Los discos los podemos mover de uno a uno y colocarlos donde queramos siempre que ningún disco esté tapando uno más pequeño. [Si los suponemos opacos, siempre se deben ver todos].
Calcula el mínimo número de movimientos que hay que hacer para resolverlo. (También es posible de resolverlo de forma determinista. Es decir, dando dos reglas -una ya lo hemos dado-, que aplicadas con cuidado, de forma sistemática, resuelven el problema y no es necesario recurrir a la inducción.)
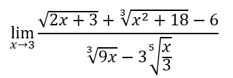
Tienes que adicionar minuendos o sustraendos acompañando a las distintas raíces (sin alterar el valor original, obviamente: la suma y la resta de estos minuendos/sustraendos ha de resultar nula) para acomodar la forma del límite y hacer el conjugado.
Después quitas factores comunes (si los hay) y si es necesario se repite el proceso del conjugado (imprescindible verificar siempre sustituyendo x por 3 en el caso de este ejercicio cada vez que se haga el conjugado, porque podríamos revertir el proceso que llevemos hasta ese punto...con el consiguiente lío en un ejercicio tan largo)
MUY BUENAS A TODOS, QUISIERA POR FAVOR SI ME PUEDEN AYUDAR EN ESTE EJERCICIO, SE TRATA DE HALLAR LA INVERSA DE UNA MATRIZ (LA DE LA DERECHA), PERO CON EL MÉTODO INSUMO PRODUCTO O LEONTIEFF, PERO NO TENGO MUY CLARO ESE MÉTODO, SI ME AYUDARÁN SE LOS AGRADECERÍA MUCHÍSIMO :)

hola Astrid, creo que es esto lo que precisas.., consiste en calcular la inversa por medio de la matriz indentidad, lo que hay que hacer básicamente es obtener la matriz identidad del lado derecho, esto se hace mediante combinaciones lineales, multiplicamos, dividimos, sumamos y restamos según nos convenga.. Si te quedan dudas del ejercicio , no dudes en preguntar , Saludos!
Σ i/i+1 cuando i comienza en 1 y termina en 300
no se como resolverlo me ayudan ?

¡Hola! Nos encantaría ayudarte, pero no solemos responder dudas universitarias que no tengan que ver específicamente con los vídeos que David ha grabado como excepción. O de otras asignaturas que no sean Matemáticas, Física y Química. Lo sentimos de corazón… Esperamos que lo entiendas.
Ojalá algún unicoo universitario se anime a ayudarte (de hecho, lo ideal es que todos los universitarios intentarais ayudaros los unos a los otros).
Unicoos me ayudan con estas derivadas parciales?
f(x,y)= ln 1/xy

¡Hola! Nos encantaría ayudarte, pero no solemos responder dudas universitarias que no tengan que ver específicamente con los vídeos que David ha grabado como excepción. O de otras asignaturas que no sean Matemáticas, Física y Química. Lo sentimos de corazón… Esperamos que lo entiendas.
Ojalá algún unicoo universitario se anime a ayudarte (de hecho, lo ideal es que todos los universitarios intentarais ayudaros los unos a los otros).
Unicoos me ayudan con estas derivadas parciales?
f(x,y)= x/ √x∧2+y∧2

¡Hola! Nos encantaría ayudarte, pero no solemos responder dudas universitarias que no tengan que ver específicamente con los vídeos que David ha grabado como excepción. O de otras asignaturas que no sean Matemáticas, Física y Química. Lo sentimos de corazón… Esperamos que lo entiendas.
Ojalá algún unicoo universitario se anime a ayudarte (de hecho, lo ideal es que todos los universitarios intentarais ayudaros los unos a los otros).