
¡Hola! Nos encantaría ayudarte, pero no solemos responder dudas universitarias que no tengan que ver específicamente con los vídeos que David ha grabado como excepción. O de otras asignaturas que no sean Matemáticas, Física y Química. Lo sentimos de corazón… Esperamos que lo entiendas.
Ojalá algún unicoo universitario se anime a ayudarte (de hecho, lo ideal es que todos los universitarios intentarais ayudaros los unos a los otros).
Hola, me podrían ayudar con este ejercicio de progresiones aritméticas y geométricas?
Si x,y,z es una progresión geométrica de razón r con x≠y
Si x,2y,3z es una progresión Aritmética. Hallar la razón r
(Es un mismo ejercicio)
Gracias
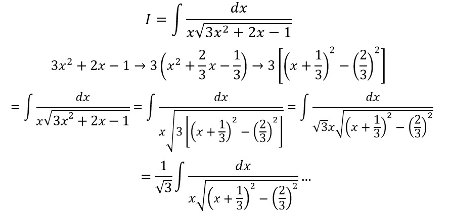
Ayudaaaaaaaaaaaaaaaaaaaaaaaaaaaaaaaaaaaaaaaa... No me sale por partes, es decir, es demasiado largo y va empeorando..
∫1dx/(x√(3x^2+2x-1))
Auxilio :'(
Unicoos me ayudan con estas derivadas parciales?
f(x,y)= sen [log (x∧2+1) ] + 5y

¡Hola! Nos encantaría ayudarte, pero no solemos responder dudas universitarias que no tengan que ver específicamente con los vídeos que David ha grabado como excepción. O de otras asignaturas que no sean Matemáticas, Física y Química. Lo sentimos de corazón… Esperamos que lo entiendas.
Ojalá algún unicoo universitario se anime a ayudarte (de hecho, lo ideal es que todos los universitarios intentarais ayudaros los unos a los otros).
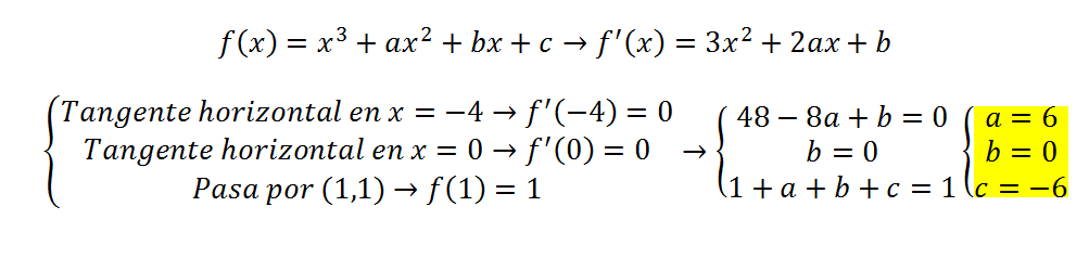
Hola, tengo un problema de derivadas, no he encontrado videos resolviendo problemas y se me da un poco mal, si hay algun video pasadmelo por favor, allá va el problema:
"Halla a, b y c en f(x)= x^3+ax^2+bx+c de modo que la gráfica de f tenga tangente horizontal en x=-4 y en x=0 y que pase por (1,1)."