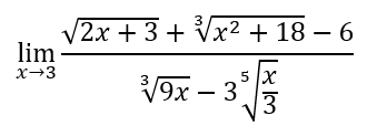
Por favor respondan mi pregunta de discutir un sistema, dicen ustedes que esta bien pero el determinante me da - 40k en vez de - 15k - 25k cuadrado... Ayúdenme por favor, revisenlo que creo que me lo dijeron mal

esta expresado de otro modo, para que no esté fraccionada hay que quitar los denominadores multiplicando por el número por el que esta dividido a toda la ecuación![]()
La única diferencia es que en este caso al final obtendremos el sistema que deberemos resolver, ya que tenemos 2 incógnitas, a partir de ahí el procedimiento es a tu elección, ya sea por igualación, reducción o sustitución
Si haciendo karnaugh, se rellena toda la tabla, ¿la función valdría 1?

¡Hola! Nos encantaría ayudarte, pero no solemos responder dudas universitarias que no tengan que ver específicamente con los vídeos que David ha grabado como excepción. O de otras asignaturas que no sean Matemáticas, Física y Química. Lo sentimos de corazón… Esperamos que lo entiendas.
Ojalá algún unicoo universitario se anime a ayudarte (de hecho, lo ideal es que todos los universitarios intentarais ayudaros los unos a los otros).