¿Cómo se pone de forma más "bonita" la siguiente ecuación continua de una recta? x=2y-1=3z

Puedes extraer factor común en el miembro central:
x = 2(y - 1/2) = 3z.
Luego, expresamos a los coeficientes como divisores fraccionarios:
x = (y - 1/2)/(1/2) = z/(1/3),
luego, las ecuaciones continuas quedan:
(x - 0)/1 = (y - 1/2)/(1/2) = (z - 0)/(1/3),
donde tienes en los denominadores a las componentes del vector director:
u = < 1 , 1/2 , 1/3 >,
y tienes en los términos numéricos de los numeradores las coordenadas de un punto de la recta, cambiadas de signo:
A(0,1/2,0).
Espero haberte ayudado.
buenas, ayer hice selectividad internacional y me salio un ejercicio que nadie de la habitacion sabia hacer. este dice "una fabrica fabrica maquinas, pero un 6% salen defectuosas. ¿cual es la probabilidad de que extraigamos con reemplazamiento tres maquinas y haya solo una defectuosa?¿cual es la probabilidad de que extraigamos tres maquinas sin reemplazamiento y salga alguna defectuosa? Lo que hice para el primer apartado fue P(nd)xP(nd)xP(d) y lo multiplique por tres porque la maquina defectuosa puede estar en cualquiera de las tres posiciones. para el ultimo apartado halle la probabilidad de que no salga ningun defectuoso haciendo el producto P(nd9xP(nd)xP(nd) y luego 1 - ese resultado
4.- Una persona deja una herencia de 240.000 euros y 5 posibles herederos. Es decir, como mínimo habrá un heredero y como máximo 5. a) Haz una tabla que recoja lo que cobraría cada heredero en función del número total de los mismos.
b) Haz una representación gráfica de los datos de la tabla. ¿Tiene sentido unir con una línea los puntos de la gráfica? Justifica tu respuesta.
c) Escribe la función que relaciona el dinero que cobraría cada heredero con el número total de
los mismos.
Hola
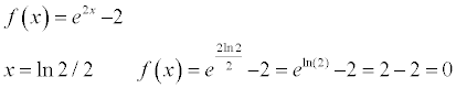
¿Alguien podría decirme como se opera el número "e" cuando está elevado a un logaritmo neperiano? En mi caso tengo que averiguar la imagen del x=ln2/2 en la función f(x)=e2x -2
Muchas gracia!
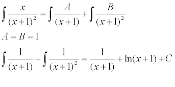
Hola, ¿alguien me podría decir como solucionar la siguiente integral?:
x/(x+1)^2

Otra forma.
Puedes plantear la sustitución (cambio de variable):
x + 1 = w, de donde tienes: dx = dw, y también tienes: x = w - 1.
Luego, tienes la integral:
I = ∫ x/(x+1)2 dx = sustituyes = ∫ (w - 1)/w2 dw = ∫ (1/w - 1/w2) dw,
luego integras y queda:
I = ln|w| + 1/w + C = sustituyes = ln|x+1| + 1/(x+1) + C.
Espero haberte ayudado.
-Un tren transporta 560 viajeros que realizan el mismo trayecto. La recaudación del importe de sus
billetes asciende a 39.600 €. Calcula cuántos viajeros han pagado el importe total del billete (90 €),
cuántos se han beneficiado de un descuento del 50% y cuántos han pagado el 60% del precio del
billete, sabiendo que el número de viajeros que ha pagado el billete completo es el triple del que ha
pagado el 60% del mismo.

Me encantaría ayudarte, pero no respondo dudas universitarias que no tengan que ver específicamente con los videos que ya he grabado como excepcion. O de otras asignaturas que no sean matemáticas, física y química. Lo siento de corazón… Espero lo entiendas
Ojalá algun unicoo universitario se anime a ayudarte (de hecho lo ideal es que todos los universitarios intentarais ayudaros los unos a los otros)

PARTE A
A ver, el limite de esa función cuando tiende a 0- hace referencia al limite de esa función cuando tiende al cero por la izquierda, es decir, cuando toma valores como por ejemplo -0,000001 (valores negativos, que es lo importante).
Si sustituimos las x por esos valores que tienden al cero y son negativos, nos queda un cociente 1/ -0,0000001 y si realizasemos ese cociente, haciendo cada vez más pequeño el denominador, tendería a menos infinito (menos porque recordamos, es el cero por la izquierda).
Ahora bien, cuando elevamos un número a un exponente negativo, lo que realmente estamos haciendo es un cociente. Me explico. Si tenemos 2-2 lo que realmente tenemos es 1/22 o lo que es lo mismo, 1/4.
Por ello, si vamos calculando la operación de e-infinito estaremos haciendo el cociente de 1/ einfinito y sabemos que cuando dividimos un número entre infinito, da cero.
Como ya vemos, tanto el e1/x como el e2/x tenderán a cero, por lo que solo nos queda el 2 en el numerador y el 1 en el denominador, y si hacemos el cociente 2/1=2
PARTE B
En este caso lo que tenemos es 1/x cuando x tiende al 0 por la deerecha, es decir, a valores como 0,000000001. Si sustituimos por el 0, nos queda 1/0, que sabemos que tiende a más infinito. Por tanto nos queda en el limite infinito/infinito. Esto es una indeterminación que se resuelve por l'hôpital, derivando numerador y denominador por separado, como se muestra en la resolución.
PARTE C
Para que sea continua en un punto sus limites laterales deben coincidir y como no coinciden, no es continua.