Hola, necesito ayuda con el siguiente ejercicio:
Se necesita construir un depósito de base cuadrada sin tapa y con un volumen de 216m².Si construir la base cuesta $80 el m² y las caras $40 el m².¿Qué medidas debe tener el depósito para que el costo de construcción sea mínimo y cual es dicho costo?
Buenos días, tengo una duda con este ejercicio que me ayudaron a realizar y es que no entiendo que formula usa para deducir que lo que esta en el cuadrado rojo da e ![]()

Pero en ese ejercicio queráis 1/0, no podría dar +infinito, ademas el limite del ejercicio que pase tiende a 0 si hago cambio de variable para que tienda a infinito y asi aplicar la formula para sustituirlas serie algo complicado (al menos para poque no tengo idea de como abarcarlo).
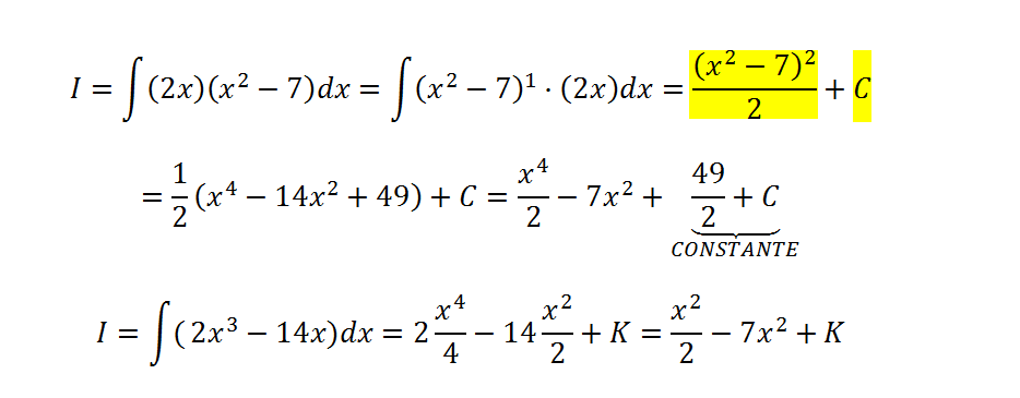
Buenas, tengo una duda al aplicar una fórmula para integrales inmediatas:
Si tengo ∫ f(x)n * f'(x) dx entonces f(x)n+1 / n+1 , si n != -1
¿podría utilizarla con esta integral?
∫2x * (x2 - 7) dx
Cuando la introduzco en la calculadora de integrales devuelve algo distinto a lo esperado, yo entiendo que tengo una función (x2 - 7) elevada a 1 por su derivada (2x)
Gracias

¡Hola! Nos encantaría ayudarte, pero no solemos responder dudas universitarias que no tengan que ver específicamente con los vídeos que David ha grabado como excepción. O de otras asignaturas que no sean Matemáticas, Física y Química. Lo sentimos de corazón… Esperamos que lo entiendas.
Ojalá algún unicoo universitario se anime a ayudarte (de hecho, lo ideal es que todos los universitarios intentarais ayudaros los unos a los otros).