Foro de preguntas y respuestas de Matemáticas

logo beUnicoos
Los foros de unicoos se han unificado en nuestra nueva plataforma beUnicoos. Para dejar nuevas preguntas deberás hacerlo allí, donde además podrás encontrar nuevas asignaturas y herramientas para ayudarte más con tus estudios.

  • icon

    Matias
    el 31/5/17

    Hola, tengo una duda muy tonta. Si tengo -2x≥4, como quedaria al pasar el -2 dividiendo? x ≤ -2 o x < -2? 

    Gracias!

    replythumb_up1 voto/sflag
    icon

    Alejandro García Candelas
    el 31/5/17

    Al pasar dividiendo, como el factor que acompaña a x es negativo, se cambia la dirección del símbolo de comparación, y se conserva si era menor o igual

    thumb_up0 voto/sflag
    icon

    Ángel
    el 31/5/17

    x ≤ -2

    thumb_up0 voto/sflag
  • icon

    fernando
    el 31/5/17

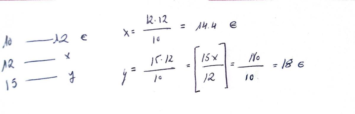
    la madre quiere dar una paga semanal a sus 3 hijas que sea directamente proporcional,  asus edades.  Las hijas tienen tienen 10,12,15 años. Si da 12 euros a su hija pequeña, cuanto dinero dara a sus otras 2 hijas?


    vi el video de unicoos pero no me queda claro como hacer este

    replythumb_up0 voto/sflag
    icon

    Ángel
    el 31/5/17

    10*1.2= 12 a su hija pequeña

    Hija_2: 12*1.2= 14.4 euros

    Hija_3: 15*1.2= 18 euros

    thumb_up0 voto/sflag
    icon

    Alejandro García Candelas
    el 31/5/17


    thumb_up0 voto/sflag
    icon

    Antonius Benedictus
    el 31/5/17


    thumb_up0 voto/sflag
  • icon

    Jorge 27
    el 31/5/17

    como saber los dos catetos de un triángulo rectángulo si solo te dan la hipotenusa

    replythumb_up0 voto/sflag
    icon

    Antonius Benedictus
    el 31/5/17

    No es posible. Necesitas otro dato más.

    thumb_up0 voto/sflag
  • icon

    Albano Caminos
    el 31/5/17

    Buenas, me podrían dar una mano con el siguiente ejercicio por favor?  Estoy demasiado perdido, el tema estamos viendo recta en r3. Muchas gracias y disculpen la molestia

    replythumb_up0 voto/sflag
    icon

    Antonius Benedictus
    el 31/5/17


    thumb_up0 voto/sflag
    icon

    Albano Caminos
    el 31/5/17

    Disculpe, quisiera saber porque la respuesta que da el profe es (7,56,58)? Muchas gracias 

    thumb_up0 voto/sflag
    icon

    Antonius Benedictus
    el 31/5/17

    A lo mejor es otra altura. Si no me muestras el desarrollo completo, no puedo explicarte cómo llegó ahí.

    thumb_up0 voto/sflag
    icon

    Albano Caminos
    el 31/5/17

    Es que nos dio los resultados únicamente

    thumb_up0 voto/sflag
  • icon

    noemi
    el 31/5/17


    replythumb_up0 voto/sflag
    icon

    Alejandro García Candelas
    el 31/5/17


    thumb_up0 voto/sflag
  • icon

    noemi
    el 31/5/17

    ejercicio 2 porfavor

    replythumb_up0 voto/sflag
    icon

    Antonius Benedictus
    el 31/5/17


    thumb_up0 voto/sflag
    icon

    Antonius Benedictus
    el 31/5/17


    thumb_up0 voto/sflag
  • icon

    noemi
    el 31/5/17

    podrian ayudarme con el ejercicio 1 y 2 que no se si lo tengo bien y quiero comprobarlo porfavor

    replythumb_up0 voto/sflag
    icon

    Antonius Benedictus
    el 31/5/17

    Mándanos lo que tengas hecho y lo miramos.

    thumb_up0 voto/sflag
  • icon

    Rubén
    el 31/5/17

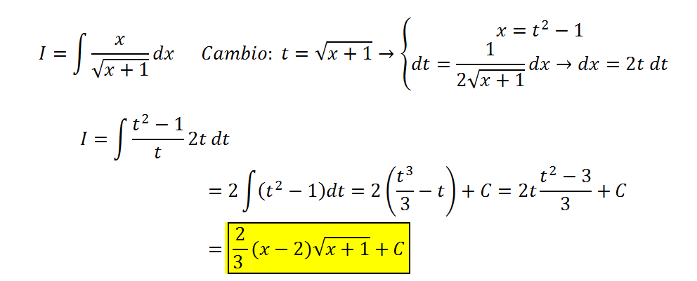
    Hola unicoos, me podrían ayudar con estos tres ejercicios de calcular la recta tangente de una función?



    replythumb_up0 voto/sflag
    icon

    Antonius Benedictus
    el 31/5/17

    icon

    Rubén
    el 31/5/17

    Si lo que pasa es que si se hacerlos pero los resultados no me coinciden con los del profesor y creo que él se ha equivocado. Por favor podrías hacerlos?

    thumb_up0 voto/sflag
    icon

    Antonius Benedictus
    el 31/5/17

    Sube tus ejercicios y te los miramos.

    thumb_up0 voto/sflag
    icon

    Rubén
    el 31/5/17


    thumb_up0 voto/sflag
    icon

    Antonius Benedictus
    el 31/5/17

    1º) En x=0, la recta tangente es y-3=-x, es decir, y=3-x  y vale

    thumb_up0 voto/sflag
    icon

    Antonius Benedictus
    el 31/5/17

    El 2º está bien.

    El 3º está bien.

    thumb_up0 voto/sflag
  • icon

    Andrea
    el 31/5/17

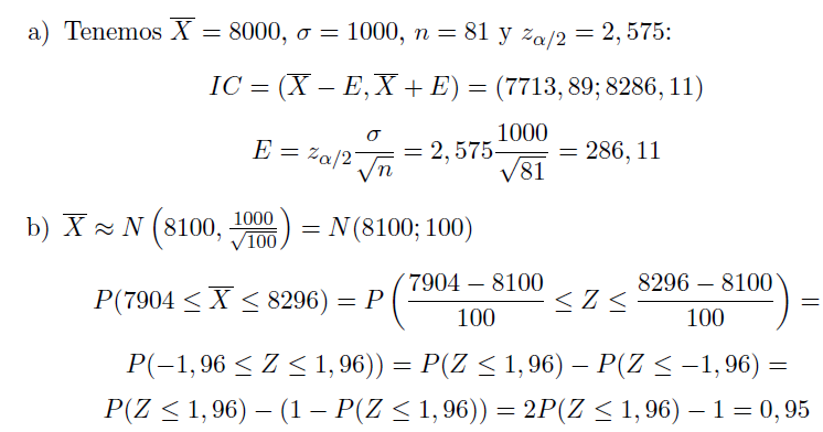
    Hola  buenas estoy estudiando para selectividad (Madrid) y no me coincide el resultado con el que me dan. ¿Podeís resolverme la duda? Muchas gracias. 

    replythumb_up0 voto/sflag
    icon

    Antonius Benedictus
    el 31/5/17


    thumb_up1 voto/sflag
    icon

    Andrea
    el 31/5/17

    Muchas gracias por resolverme la duda :)

    thumb_up0 voto/sflag
  • icon

    Patri Lopez
    el 31/5/17

    Hola!! Una duda del ejercicio 3;  el a) a ver para que sean paralelas tengo hallar el rango no? Pero el rango como.lo saco, es decir,  tengo que  poner en una matriz asi tal cual los coeficientes que estan al lado de las letras y el.9 o tengo que pasar las recta a ecuacion general; no se si me he explicado bien, espero que me hayáis entendido, un saludo y muchísimas gracias! 

    replythumb_up0 voto/sflag
    icon

    Antonius Benedictus
    el 31/5/17

    Pon foto derecha del enunciado original, Patri.

    thumb_up0 voto/sflag