como resuelvo esto:
Un orfebre fabrica dos tipos de joyas. Las del tipo A contienen 1 g de oro y 1.5 g de plata y las venden a 40 euros cada una.Para la fabricación de las del tipo B se emplea 1.5 g de oro y 1 g de plata , y las vende a 50 euros.El orfebre tiene solo en el taller 750 g de cada uno de los metales. Calcular cuanto deberá obtener como beneficio máximo.
Si hay muchas páginas como Unicoos dispersadas por el mundo en un futuro, supongo que sobre el año 2060 este ejercicio pertenecerá a la ESO, de momento está en optimización de final de bachiller, creo.
Dile a tu profe que procure no adelantarse tanto porque pueden no entenderlo los alumnos...y si lo entiendes, enhorabuena.
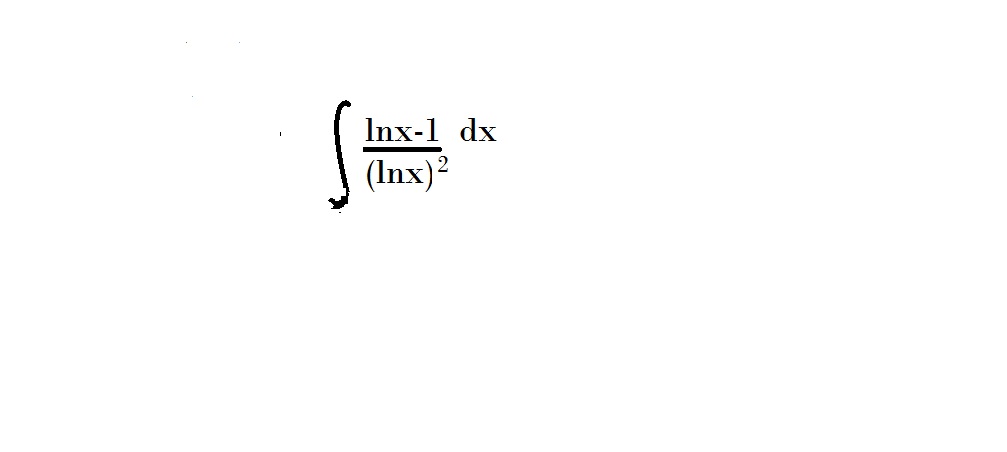
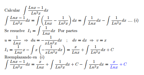
Por favor,necesito ayuda con esta integral,lo intente,pero no encuentro el modo de hallar la respuesta...
Hola!! Alguien sabe si hay algún video sobre ejercicios de este tipo? O sabría hacerlo paso a paso?? Graciasss parece sencillo pero no tengo ni idea
a) Calcúlense p y q de modo que la curva y = x2 + px + q contenga al
punto (−2, 1) y presente un mínimo en x = −3.
b) Hállese el área del recinto acotado delimitado por la curva y = x
2 +4x + 5 y la recta y = 5.
Buenas noches. Tengo una duda con un ejercicio de "límites", ¿podrán decirme por favor si el resultado es correcto? Gracias comunidad, un abrazo.
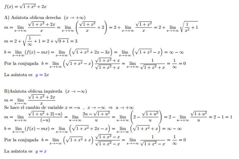
En la resolución de este ejercicio (hallar ecuaciones de las rectas asíntotas) me da como solución de las asintotas oblicuas y=3x e y=x. Por lo que los valores de m tienen que ser 1 y 3. Pude hallar el valor de m=1, pero no se me ocurre como podría hallar m=3. Si alguien pudiera ayudarme se los agradecería

Creo que debes practicar un poco más los límites y algunos detalles más del álgebra , veo algunos errores en esa solución que pones , con la práctica todo es posible .
Hablando ya del ejercicio , las asintota oblicuas (si existen ) se calcula cuando x tiende a +infinito y cuando tiende a -infinito.
Te adjunto una solución para que lo revises
Si dejas tu pregunta en http://www.unicoos.com/foro/fisica puede ser que caiga la breva.