Foro de preguntas y respuestas de Matemáticas

logo beUnicoos
Los foros de unicoos se han unificado en nuestra nueva plataforma beUnicoos. Para dejar nuevas preguntas deberás hacerlo allí, donde además podrás encontrar nuevas asignaturas y herramientas para ayudarte más con tus estudios.

  • icon

    Noé Muñoz Alonso
    el 28/5/17

    Nos dan un subconjunto R de los reales, no vacío y acotado superiormente. Hay que demostrar que u∈ℛ es el supremo de S si y sólo si para cada n∈ℕ, u+(1/n) es cota superior de S y u-(1/n) no lo es.

    La implicación de izquierda a derecha (en la que la hipótesis es que u es el supremo) sé demostrarla, pero la recíproca no. ¿Cómo se haría? ¿Hace falta usar la propiedad arquimediana?

    replythumb_up0 voto/sflag
    icon

    Antonius Benedictus
    el 28/5/17

    En efecto, Noé:


    thumb_up1 voto/sflag
  • icon

    Adrian Rodríguez Agüero
    el 28/5/17

     Alguien sabe como se hace alguno de los apartados. Cualquiera, no se hacer ninguno. Gracias

    replythumb_up0 voto/sflag
    icon

    Antonius Benedictus
    el 28/5/17


    thumb_up0 voto/sflag
  • icon

    Bautista Addad
    el 28/5/17

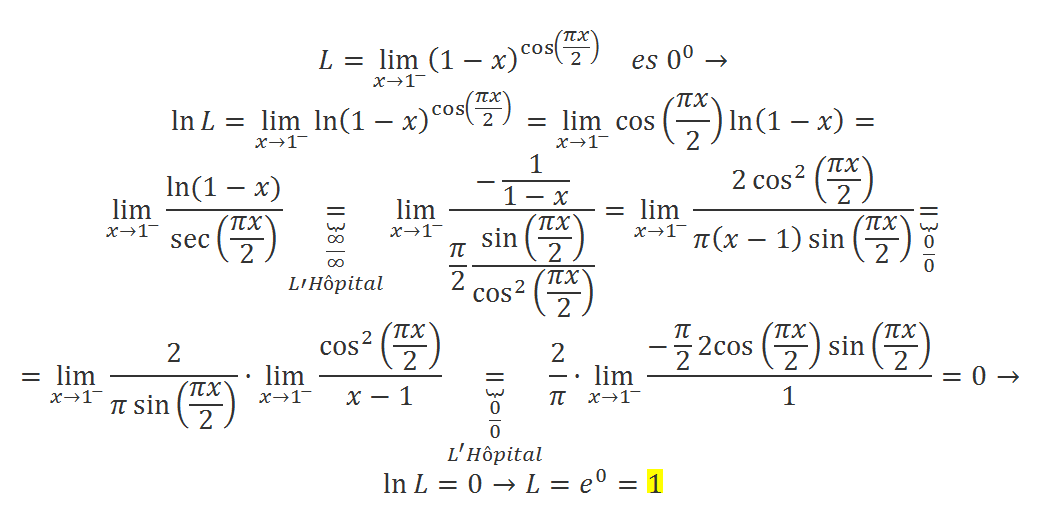
    Resolver el siguiente limite aplicando Lhopital:

    Lim por la izquierda de 1 de la función [1-x]^[cos[(pi.x)/2]]

    replythumb_up0 voto/sflag
    icon

    Manuel
    el 28/5/17


    thumb_up1 voto/sflag
    icon

    Antonius Benedictus
    el 28/5/17

    Manuel:  NO es un límite del número e:


    thumb_up2 voto/sflag
    icon

    Manuel
    el 30/5/17

    ¿Cómo se puede saber cuándo un límite hay que resolverlo por el número e y cuando se resuelve con logaritmo neperiano? Yo pensaba que era el mismo método, que se podían aplicar cuando era una función elevada a otra función pero parece ser que estaba equivocado.


    thumb_up1 voto/sflag
    icon

    Bautista Addad
    el 5/6/17

    Tengo entendido, que es cuando tenes una función elevado a otra función, entonces ahí aplicas eso

    thumb_up0 voto/sflag
  • icon

    Guillem de la Calle
    el 28/5/17

    Afirmo que "En todo polígono convexo el número de diagonales que podemos hacer es igual en n²-6n+10, donde n es el número de lados." ¿Es cierto o falso? ¿Y si digo que es igual a (1/2)n²-(3/2)n? ¿Sabrías demostrar la validez de la expresión cierta?

    replythumb_up0 voto/sflag
    icon

    César
    el 28/5/17


    thumb_up0 voto/sflag
  • icon

    Manuel
    el 28/5/17

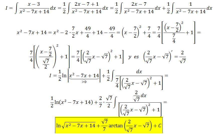
    Hola!!! Tengo un problema con esta integral racional con números complejos en el denominador. Ya sé que el resultado me tiene que dar un logaritmo neperiano más una arcotangente. El logaritmo neperiano lo resuelvo sin problemas pero la segunda integral está mal y no sé porqué. A mí me da lo que pone en la imagen adjunta; pero tengo una aplicación que resuelve integrales y da diferente. A mi me da 4/7 por la arcotangente y en la aplicación me aparece 2/√7, justo la raíz de los dos. No sé porqué es así, espero que me hayáis entendido un saludo

    replythumb_up0 voto/sflag
    icon

    Axel Morales Piñón.
    el 28/5/17

    En la expresión cuadrática, el término independiente ¿es 24 o 14?

    thumb_up0 voto/sflag
    icon

    Antonius Benedictus
    el 28/5/17

    Te va la corrección:


    thumb_up2 voto/sflag
    icon

    Manuel
    el 28/5/17

    14

    thumb_up0 voto/sflag
  • icon

    Pilar Arias
    el 28/5/17

    Hola, me podeis ayudar con el problema "Calcula la diagonal de una caja de altura 2 cm y cuya base es un rectángulo de lados 3cm y 5cm" 

    Muchas gracias!

    replythumb_up0 voto/sflag

    Usuario eliminado
    el 28/5/17


    Haber que te parece...


    thumb_up0 voto/sflag

    Usuario eliminado
    el 28/5/17

    La solución es raiz de 38

    thumb_up0 voto/sflag
  • Usuario eliminado
    el 28/5/17

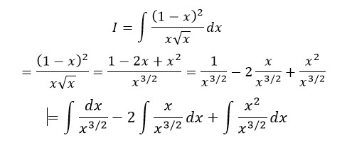
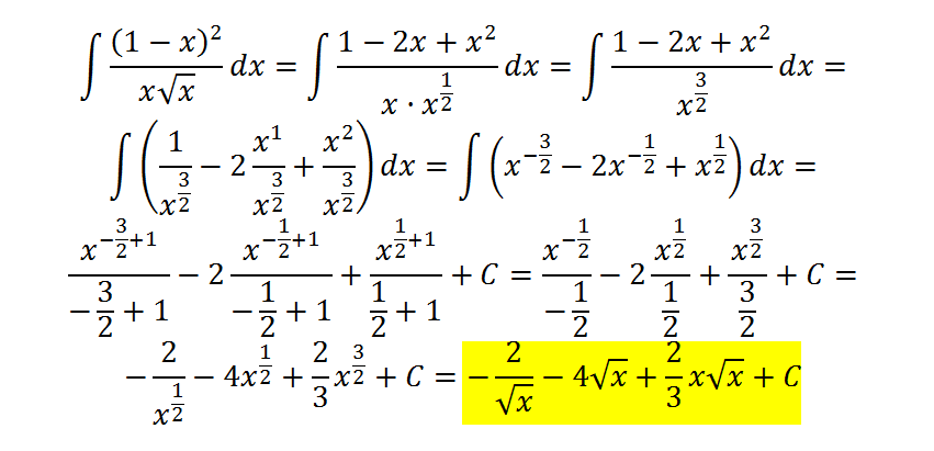
    Hola de nuevo, No hay manera con las integrales.

    Me dan el siguiente ejercicio ∫(((1-x)^2)/(x√x))dx. El problema está que no se si descomponer el primer polinomio o girar la raiz cuadrada a ^1/2

    replythumb_up1 voto/sflag
    icon

    Axel Morales Piñón.
    el 28/5/17

    No Joan, desarrola la expresión del numerador y, separa en 3 integrales.

    thumb_up0 voto/sflag
    icon

    Antonius Benedictus
    el 28/5/17


    thumb_up1 voto/sflag
    icon

    Axel Morales Piñón.
    el 28/5/17

    Remata el ejercicio, aplica álgebra.


    thumb_up0 voto/sflag

    Usuario eliminado
    el 28/5/17

    Gracias de nuevo, Antonio. Y gracias por la pista que me has dado Axel. Soys unos maquinas


    thumb_up0 voto/sflag
  • icon

    Pilar Arias
    el 28/5/17

    Hola, me podeis ayudar con el problema "Un rombo tiene un ángulo que mide 60º. Expresa las longitudes de las diagonales en función del lado del rombo"

    Muchas gracias!

    replythumb_up0 voto/sflag
    icon

    Antonio
    el 28/5/17

    d1=2·l·sen(Φ/2)

    d2=2·l·cos(Φ/2)

    donde l es el lado y Φ el ángulo

    thumb_up0 voto/sflag
    icon

    Pilar Arias
    el 28/5/17

    Hay alguna manera de resolverlo sin sen y cos, es que todavia no lo he estudiado


    thumb_up0 voto/sflag
  • icon

    Malu Bustos Moreno
    el 28/5/17

    Cual sería la integral de ln(x)/x? Y el procedimiento? Sería inmediata? Gracias de antemano 

    replythumb_up0 voto/sflag
    icon

    Antonius Benedictus
    el 28/5/17


    thumb_up0 voto/sflag
    icon

    Axel Morales Piñón.
    el 28/5/17


    thumb_up0 voto/sflag
  • icon

    Marta
    el 28/5/17

    Hola, me podrías ayudar con los 2 apartados del siguiente ejercicio. No soy capaz de hacerlos. Muchas gracias

    replythumb_up0 voto/sflag
    icon

    Antonius Benedictus
    el 28/5/17


    thumb_up1 voto/sflag
    icon

    Marta
    el 28/5/17

    Muchas gracias, ya lo he entendido :)

    thumb_up0 voto/sflag