Foro de preguntas y respuestas de Matemáticas

logo beUnicoos
Los foros de unicoos se han unificado en nuestra nueva plataforma beUnicoos. Para dejar nuevas preguntas deberás hacerlo allí, donde además podrás encontrar nuevas asignaturas y herramientas para ayudarte más con tus estudios.

  • icon

    Rodolfo Catunta
    el 28/5/17

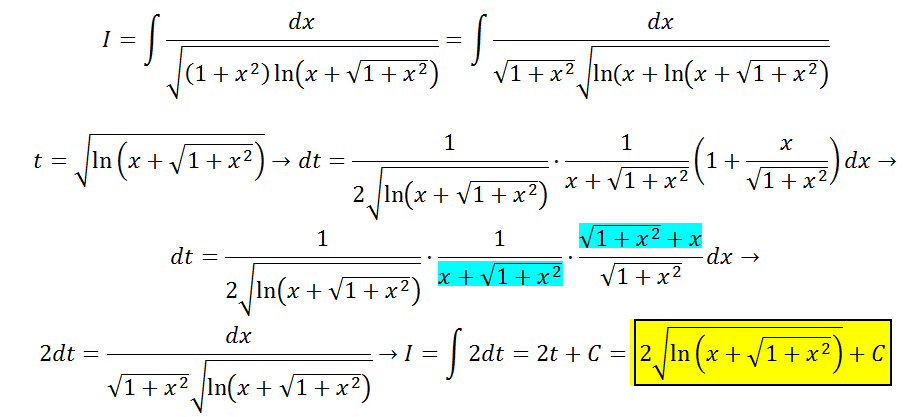
    Ayuda con esta integral la intente y no me sale 

    replythumb_up0 voto/sflag
    icon

    Antonius Benedictus
    el 28/5/17


    thumb_up0 voto/sflag
  • icon

    Joaquin Aguirre
    el 28/5/17

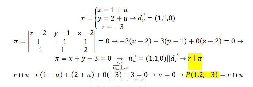
    Ayuda con este ejercicio 

    replythumb_up0 voto/sflag
    icon

    Antonio
    el 28/5/17

    Ortogonal significa que el ángulo que hay entre ellos es de 90º.

    Calcula el vector director de la recta y el vector normal al plano y comprueba que son paralelos.

    thumb_up1 voto/sflag
    icon

    Joaquin Aguirre
    el 28/5/17

    Ese que no se como pasar la ecuación parametrica del plano a la general 

    thumb_up0 voto/sflag
    icon

    Antonius Benedictus
    el 28/5/17

    Pasamos el plano a forma continua:


    thumb_up2 voto/sflag
    icon

    Antonius Benedictus
    el 28/5/17


    thumb_up2 voto/sflag
    icon

    Joaquin Aguirre
    el 28/5/17

    Profe el determinante ese a mi me dio -3x-y+7=0 esta mal ?

    thumb_up0 voto/sflag
    icon

    Antonius Benedictus
    el 28/5/17

    Fijo, pues el vector normal ha de ser proporcional al vector director de r.

    thumb_up1 voto/sflag
  • icon

    Ignacio Vergara
    el 28/5/17
    flag

     

    Sobre test de hipótesis con la tabla de Chi-cuadrado, quería saber si esa afirmación que resalte esta correcta...

     

    replythumb_up0 voto/sflag
    icon

    Antonius Benedictus
    el 28/5/17

    Ojalá algún unicoo universitario se anime a ayudarte (de hecho, lo ideal es que todos los universitarios intentarais ayudaros los unos a los otros).

    thumb_up0 voto/sflag
    icon

    Ángel
    el 29/5/17


    Te adjunto la tabla de Chi cuadrado con anotaciones para tu ejemplo y señalados los datos en colores que se interrelacionan en tu el ejemplo modificado (que te envío ahora después)*, para que los identifiques mejor.

    thumb_up1 voto/sflag
    icon

    Ángel
    el 29/5/17


    Yo prefiero llamarlo P-valor en lugar de valor-p (porque puede llevar a confusión (en realidad es un guión, no un signo menos como sabrás)

    Los dos criterios que adjuntas son complementarios, correctos y coherentes entre ellos, si sigues dudando vuelve a preguntar.

    thumb_up1 voto/sflag
  • icon

    Vanessa Morales
    el 28/5/17

    Por favor necesito su ayuda , gracias

    Verifica si la función dada  , es solución de la ecuación diferencial 

    y=(x+(x^2+1)^1/2)^k  ;  (x^2+1)y''+xy'-k^2 y=0

    replythumb_up0 voto/sflag
    icon

    Antonio
    el 28/5/17

    Lo es:

    derivando la función:

    y=(x+(x^2+1)^1/2)^k  => y'=ky/(x^2+1)^1/2 => y''=k^2y/(x^2+1) - xky/(x^2+1)^3/2

    y sustituyendo en la ecuación:

    ...

    thumb_up0 voto/sflag
  • icon

    andrea
    el 28/5/17

    cuanto nos quedaria por recorrer si hemos recorrido 2/3 de los 3/4 de un camino?

    replythumb_up0 voto/sflag
    icon

    Antonio
    el 28/5/17

    los 2/3 de los 3/4 de un camino son los (2/3 · 3/4=) 6/12 del camino, es decir la mitad.

    por lo tanto hemos recorrido la mitad y nos quedaría la otra mitad

    thumb_up1 voto/sflag
    icon

    andrea
    el 29/5/17


    thumb_up0 voto/sflag
  • icon

    Malu Bustos Moreno
    el 28/5/17

    Hola! Cuál sería el resultado de esta derivada? 

    replythumb_up0 voto/sflag
    icon

    JBalvin
    el 28/5/17

    con respecto a que?

    R o α?

    thumb_up0 voto/sflag
    icon

    Malu Bustos Moreno
    el 28/5/17

    Quiero que alfa me quede despejada, ignoraría en ese caso la R, es decir sería como una constante?

    thumb_up0 voto/sflag
    icon

    Antonius Benedictus
    el 28/5/17

    Pon foto del enunciado original.

    thumb_up0 voto/sflag
    icon

    Malu Bustos Moreno
    el 28/5/17


    thumb_up0 voto/sflag
    icon

    Antonio
    el 28/5/17

    Veamos Malu, este ejercicio yo lo abordaría de la siguiente forma:

    Halla el volumen del cono en función de su altura, R es constante y r la sacas aplicando el teorema de pitágoras.

    Maximiza la función V(h), ya sabes la derivas, igualas el resultado a cero, despeja y por último compruebas con la segunda derivada que efectivamente es un máximo.

    Ya tienes el valor de h, ahora obtén el valor de r

    Calcula ahora la longitud de la circunferencia de la base del cono, es decir la de radio r

    Esta longuitud será el arco de circunferencia del sector circular de la de radio R que debemos coger para fabricar el cono, con lo que con una simple regla de tres obtienes el ángulo de dicho sector circular

    Y, por último, halla el ángulo del sector que hay que quitar (a mi me da 66º)




    thumb_up0 voto/sflag
    icon

    Malu Bustos Moreno
    el 28/5/17

    Sí, el procedimiento creo que se hacerlo, me falla la derivada que he pasado, que no sé muy bien como sería. 

    thumb_up0 voto/sflag
    icon

    Antonius Benedictus
    el 28/5/17

    Te mando algo muy similar:



    thumb_up0 voto/sflag
  • icon

    Adrián
    el 28/5/17

    Hola, buenas noches:

    Una pregunta de teoría:

    ¿Puede haber una asíntota horizontal si el dominio de una función es R?

    replythumb_up0 voto/sflag
    icon

    Antonius Benedictus
    el 28/5/17

    Claro. Por ejemplo:

    f(x)=3+(5/(1+x^2))

    Tiene de asíntota horizontal y=3

    thumb_up0 voto/sflag
  • icon

    Lourdes
    el 28/5/17
    flagflag

    sería correcto el esquema de inferencia? Disculpe falta el punto 4, cometí error al numerar

    replythumb_up0 voto/sflag
    icon

    Antonius Benedictus
    el 28/5/17

    Ojalá algún unicoo universitario se anime a ayudarte (de hecho, lo ideal es que todos los universitarios intentarais ayudaros los unos a los otros).

    thumb_up1 voto/sflag
    icon

    Lourdes
    el 29/5/17

    Ojalá. Agradecería mucho la ayuda


    thumb_up0 voto/sflag
    icon

    Ángel
    el 29/5/17

    -Tienes algunos fallos y te recomiendo tener en cuenta en lo relativo a los supuestos:

    *supuestos son (no necesitan de justificación, ni deducción previa)
    *se cancelan antes de terminar la deducción.
    * "descargan" inmediatamente después de su ejecución.

    -La conclusión NUNCA puede estar dentro de un supuesto, pues aparte de la descarga, no tendremos nada "verificado logicamente" (y por lo tanto válido) de la deducción fuera de ella misma, después de cancelada.

    -En los cálculos logicos hemos de tener en cuenta las premisas, pero más aún la conclusión (nuestro objetivo): tienes que observar que tiene una implicativa como parte principal en p → (s^r) , por lo que podemos (y debemos) utilizar el Teorema de la Deducción (TD) como regla determinante de la estrategia de derivación. (esta idea la tienes, sólo era para describirtelo un poco de manera formal)
    #Para ello suponemos de modo subsidiario el antecedente de la conclusión "p" para (mediante el uso de las reglas) intentar derivar el consiguiente de la conclusión.
    Si lo logramos, entonces podemos construir mediante el TD la proposición implicativa que se corresponda con la conclusión a demostrar.

    thumb_up2 voto/sflag
    icon

    Ángel
    el 29/5/17


    thumb_up2 voto/sflag
    icon

    Ángel
    el 31/5/17

    ¿Qué tal llevas las deducciones? :D

    thumb_up1 voto/sflag
    icon

    Lourdes
    el 1/6/17

    Muchísimo mejor. Muchas gracias

    thumb_up0 voto/sflag
  • icon

    Adrian Rodríguez Agüero
    el 28/5/17

     Ayuda por favor

    replythumb_up0 voto/sflag
    icon

    Ángel
    el 29/5/17

    Si trabajas el ejercicio que te ha resuelto Antonio del "Contratista de obra" (similar a este) y envías tu propuesta de resolución, si tienes alguna duda sobre este ejercicio seguro que se te ayudará (aunque esté fuera del contenido de este/esta foro/página de momento)

    thumb_up1 voto/sflag