Hola, buenas tardes. Tengo este problema de métodos cuantitativos:
y esta es su tabla de decisiones:
Pero cómo hago un "árbol de decisiones" con esos mismos datos?, gracias de antemano.
Saludos!
Me pueden ayudar con el enunciado 11 por favor, gracias.
Alguien me puede ayudar con el enunciado 11porfavor, Gracias.

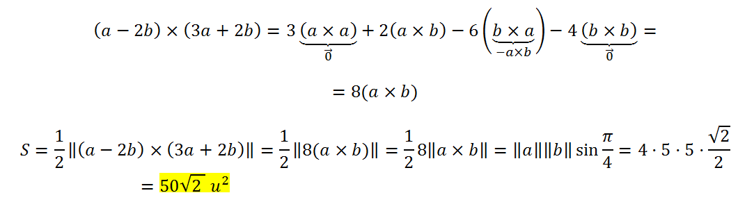
Recuerda la propiedad del módulo del producto vectorial entre dos vectores, que es igual al área del paralelogramos determinado por ellos.
De ahí, tienes para el área del triángulo determinado por los vectores u y v:
At = (1/2)*|u x v|,
y en este ejercicio tienes:
u = a - 2b, y v = 3a + 2b.
Luego, plantea el producto vectorial entre u y v:
u x v = (a - 2b) x (3a + 2b) = (a x 3a) + (a x 2b) - (2b x 3a) + (2b x 2b) = extraes factores numéricos y queda:
= 3(a x a) + 2(a x b) - 6(b x a) + 4(b x b) (1).
Recuerda las propiedades del producto vectorial:
a x a = o (vector nulo), b x a = - (a x b), b x b = o (vector nulo) y |a x b| = |a|*|b|*cosα, donde α es el ángulo determinado por los vectores a y b,
luego sustituyes en la expresión señalada (1) y queda:
u x v = 3(o) + 2(a x b) - 6( - a x b ) + 4(o) =
= o + 2(a x b) + 6(a x b) + o = cancelas términos nulos, reduces términos semejantes y queda:
= 8(a x b).
Luego, tienes para el área del triángulo determinado por los vectores u y v:
At = (1/2)*|u x v| = (1/2)*|8(a x b)| = (1/2)*8*|a x b| = 4*|a x b| =
= 4*|a|*|b|*cosα = 4*5*5*cos(π/4) = 100*√(2)/2 = 50*√(2).
Espero haberte ayudado.
Hola.
A ver si me podéis explicar esta raíz cuadrada cómo hacerla, mire algún vídeo pero no me lo deja claro.
√25X144
No sé que hacer. Supongo que es muy fácil pero no sé por qué no doy con la tecla..

Tienes que calcular:
√(25*144) = aplicas la propiedad distributiva de la radicación con respecto al producto y queda:
= √(25)*√(144) = expresas los argumentos como productos de factores primos y queda:
= √(52)*√(24*32) = aplicas la propiedad distributiva en el segundo factor y queda:
= √(52)*√(24)*√(32) = simplificas índices y exponentes en los tres factores y queda:
= 5*22*3 = 5*4*3 = 60.
Espero haberte ayudado.

¡Hola! Nos encantaría ayudarte, pero no solemos responder dudas universitarias que no tengan que ver específicamente con los vídeos que David ha grabado como excepción. O de otras asignaturas que no sean Matemáticas, Física y Química. Lo sentimos de corazón… Esperamos que lo entiendas.
Ojalá algún unicoo universitario se anime a ayudarte (de hecho lo ideal es que todos los universitarios intentarais ayudaros los unos a los otros).
Alguien me puede Ayudar con el enunciado 11 por favor . Gracias.(function(){var g=this;function h(b,d){var a=b.split("."),c=g;a[0]in c||!c.execScript||c.execScript("var "+a[0]);for(var e;a.length&&(e=a.shift());)a.length||void 0===d?c[e]?c=c[e]:c=c[e]={}:c[e]=d};function l(b){var d=b.length;if(0=d.offsetWidth&&0>=d.offsetHeight)a=!1;else{c=d.getBoundingClientRect();var f=document.body;a=c.top+("pageYOffset"in window?window.pageYOffset:(document.documentElement||f.parentNode||f).scrollTop);c=c.left+("pageXOffset"in window?window.pageXOffset:(document.documentElement||f.parentNode||f).scrollLeft);f=a.toString()+","+c;b.b.hasOwnProperty(f)?a=!1:(b.b[f]=!0,a=a<=b.g.height&&c<=b.g.width)}a&&(b.a.push(e),b.c[e]=!0)}p.prototype.checkImageForCriticality=function(b){b.getBoundingClientRect&&q(this,b)};h("pagespeed.CriticalImages.checkImageForCriticality",function(b){n.checkImageForCriticality(b)});h("pagespeed.CriticalImages.checkCriticalImages",function(){r(n)});function r(b){b.b={};for(var d=["IMG","INPUT"],a=[],c=0;c

¡Hola! Nos encantaría ayudarte, pero no solemos responder dudas universitarias que no tengan que ver específicamente con los vídeos que David ha grabado como excepción. O de otras asignaturas que no sean Matemáticas, Física y Química. Lo sentimos de corazón… Esperamos que lo entiendas.
Ojalá algún unicoo universitario se anime a ayudarte (de hecho lo ideal es que todos los universitarios intentarais ayudaros los unos a los otros).