Foro de preguntas y respuestas de Matemáticas

logo beUnicoos
Los foros de unicoos se han unificado en nuestra nueva plataforma beUnicoos. Para dejar nuevas preguntas deberás hacerlo allí, donde además podrás encontrar nuevas asignaturas y herramientas para ayudarte más con tus estudios.

  • icon

    sandra rubio
    el 26/5/17

    Hola, me podrían ayudar con este problema. Gracias.

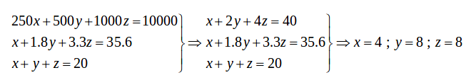
    Una tienda dispone de latas de conserva de tomate de tres fabricantes: A, B y C. El fabricante A envasa el tomate en latas de 250 g, el fabricante B lo envasa en latas de 500 g y el fabricante C en latas de 1 Kg. Esas latas de tomate se venden a 1, 1.8 y 3.3 euros, respectivamente. Compramos en total 20 latas, que pesan un total de 10 Kg y nos cuestan 35.6 euros. Queremos saber cuántas latas de cada fabricante hemos comprado.

    a) Plantee el sistema de ecuaciones que resolvería el problema anterior.

    b) Resuelva el problema. 

    replythumb_up0 voto/sflag
    icon

    Guillem De La Calle Vicente
    el 26/5/17


    thumb_up1 voto/sflag
  • Usuario eliminado
    el 26/5/17

    T subo dos mas Guille.

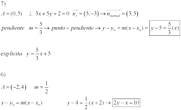
    Ejercicio 6º

    Ejercicio 7º


    replythumb_up0 voto/sflag
    icon

    César
    el 26/5/17


    thumb_up1 voto/sflag
  • Usuario eliminado
    el 26/5/17

    Buenos días, os dejo unos ejercicios para que me valláis guiando y así yo luego poder desarrollarlo.

    Muchas gracias.

    Ejercicio 4º

    Ejercicio 5º


    replythumb_up0 voto/sflag
    icon

    Guillem De La Calle Vicente
    el 26/5/17


    thumb_up2 voto/sflag
    icon

    Guillem De La Calle Vicente
    el 26/5/17


    thumb_up2 voto/sflag

    Usuario eliminado
    el 26/5/17

    Muchas gracias Guillen. Lo que no entiendo es como se deduce, leyendo el problema que formulas o que pasos seguir. no se si me explico. Un saludo.

    thumb_up0 voto/sflag
    icon

    Antonius Benedictus
    el 26/5/17


    thumb_up0 voto/sflag
    icon

    Antonius Benedictus
    el 26/5/17


    thumb_up0 voto/sflag
    icon

    Guillem De La Calle Vicente
    el 26/5/17

    Para expresar una recta, siempre necesitas un vector y un punto! A partir de aquí, tienes que hacer las miliunas para encontrarlos a partir del enunciado del problema.

    thumb_up0 voto/sflag

    Usuario eliminado
    el 26/5/17

    Muy amable Antonio. Muchísimas gracias.

    thumb_up0 voto/sflag

    Usuario eliminado
    el 26/5/17

    Me podrías mandar enlaces de los videos de David donde expliquen esto, es que miro y no lo encuentro. Gracias.

    thumb_up0 voto/sflag
    icon

    Guillem De La Calle Vicente
    el 26/5/17

  • icon

    Guillem de la Calle
    el 26/5/17

    Para la matriz siguiente, determina razonadamente si es o no diagonalizable sobre ℛ. Cuando no lo sea, determina razonadamente si es o no diagonalizable sobre ℂ:


    replythumb_up0 voto/sflag
    icon

    Antonius Benedictus
    el 26/5/17


    thumb_up0 voto/sflag
  • icon

    Deidara Stick.
    el 26/5/17

    Hola amigos de unicoos, quisiera que alguien de favor me ayude con el problemita de un sistema de ecuaciones.... como se puede determinar él o los valores que hacen el sistema de ecuacion inconsistente.

    Muchas gracias de antemano.... 


    replythumb_up0 voto/sflag
    icon

    Antonius Benedictus
    el 26/5/17


    thumb_up0 voto/sflag
  • icon

    ErickMT12
    el 26/5/17
    flag

    Me ayudan con este problema?


    replythumb_up0 voto/sflag
    icon

    Antonius Benedictus
    el 26/5/17

    Ojalá algún unicoo universitario se anime a ayudarte (de hecho, lo ideal es que todos los universitarios intentarais ayudaros los unos a los otros).

    thumb_up0 voto/sflag
  • icon

    ErickMT12
    el 26/5/17
    flag

    Cómo podría resolver este problema con las T de student?


    replythumb_up0 voto/sflag
    icon

    Antonius Benedictus
    el 26/5/17

    Ojalá algún unicoo universitario se anime a ayudarte (de hecho, lo ideal es que todos los universitarios intentarais ayudaros los unos a los otros).

    thumb_up0 voto/sflag
  • icon

    Juan Vilela Ramos
    el 26/5/17


    replythumb_up0 voto/sflag
    icon

    Antonius Benedictus
    el 26/5/17


    thumb_up0 voto/sflag
  • icon

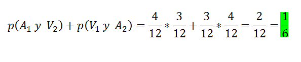
    Adrian
    el 26/5/17

    hola! me pueden ayudar?...

    si tengo 4 pelotas azules, 3 verdes y  5 rojas, ¿Cual es la probabilidad de sacar una azul y una verde, sabiendo que cada vez que saque una pelota se remplaza?

    Gracias...

    replythumb_up0 voto/sflag
    icon

    Antonius Benedictus
    el 26/5/17


    thumb_up0 voto/sflag
  • icon

    Nando Hull
    el 26/5/17

    Hola! El lim (a^x-1)/x cuando x tiende a infinito se puede resolver sin utilizar el l'hospital ?? Y como por favor gracias


    replythumb_up0 voto/sflag
    icon

    Antonius Benedictus
    el 26/5/17

    Para x tiende a +infinito solo es suficiente considerar que a^x-1 es un infinito "infinitamente más potente que x"  si a>1. Y sale +inf

    Si 0<a<1, entonces queda -1/(+inf )=0

    thumb_up1 voto/sflag