Foro de preguntas y respuestas de Matemáticas

logo beUnicoos
Los foros de unicoos se han unificado en nuestra nueva plataforma beUnicoos. Para dejar nuevas preguntas deberás hacerlo allí, donde además podrás encontrar nuevas asignaturas y herramientas para ayudarte más con tus estudios.

  • icon

    michelle acevedo
    el 26/5/17

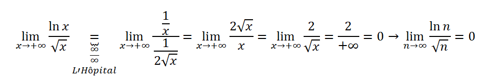
    hola por favor ayuda me podrían decir por que esta bien este ejercicio, como se obtiene 1/raiz de n, por favor me urge


    replythumb_up0 voto/sflag
    icon

    Antonius Benedictus
    el 26/5/17


    thumb_up1 voto/sflag
  • icon

    Luis
    el 26/5/17
    flag

    alguien que me pueda ayudar con estatica? temas de armaduras y fuerzas internas 

    replythumb_up0 voto/sflag
    icon

    Antonius Benedictus
    el 31/5/17

    Al foro de Física, por favor.

    thumb_up0 voto/sflag
  • icon

    Luis Andrés Mariño
    el 26/5/17

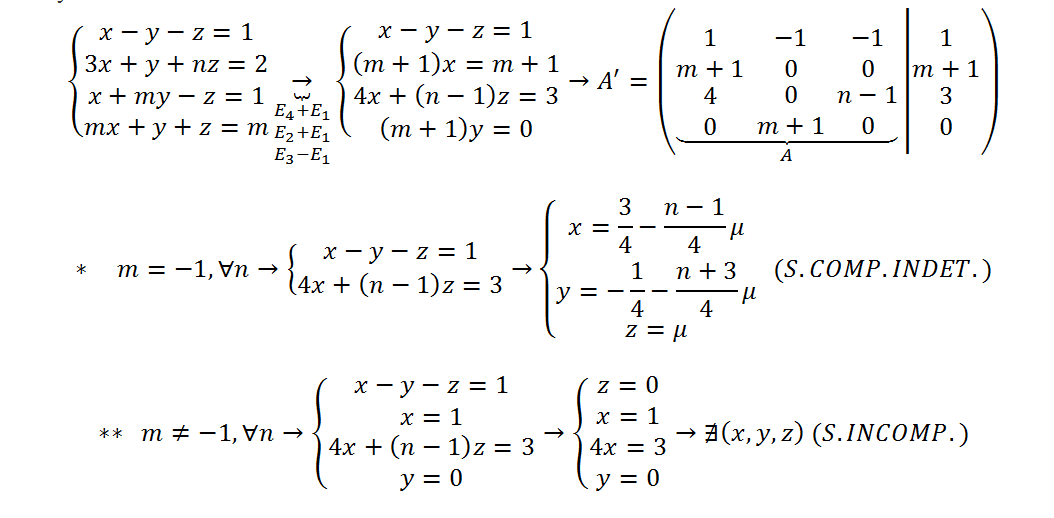
    Discutir (argumentar el número de soluciones) del siguiente sistema de ecuaciones según los valores de los parámetros m y n:


    mx+ y + z = m

    x + my -z = 1

    3x + y +nz = 2

    x - y - z = 1


    Saqué m = -1 haciendo una matriz con las filas 1, 2 y 4, ¿está bien eso? 


    He hecho otros sistemas de 3 filas x 4 columnas con dos parámetros y uno de ellos situado en la columna de términos independientes (4a columna) pero este no se como hacerlo.

     

    Gracias.



    replythumb_up0 voto/sflag
    icon

    Antonius Benedictus
    el 26/5/17


    thumb_up0 voto/sflag
  • icon

    Daniel Martín Romero
    el 26/5/17

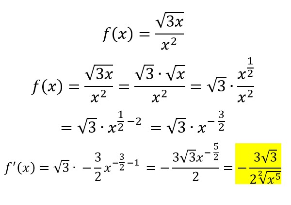
    hola a todos por favor un vídeo donde aparezcan derivadas con raizes con quoficiente x al quadrado o al cubo

    replythumb_up0 voto/sflag
    icon

    Axel Morales Piñón.
    el 26/5/17

    Adjunta un ejercicio y te ayudamos Daniel.

    thumb_up0 voto/sflag
    icon

    Daniel Martín Romero
    el 26/5/17

    Este es el ejercicio

    f(x)=√3x / x2

    thumb_up0 voto/sflag
    icon

    Axel Morales Piñón.
    el 26/5/17


    thumb_up1 voto/sflag
    icon

    Daniel Martín Romero
    el 26/5/17

    graciasss :)


    thumb_up0 voto/sflag
  • icon

    Luis Andrés Mariño
    el 26/5/17

    Calcula el rango de las siguientes familias de vectores:

    S = {(1,2,0,0),(1,1,1,1,),(2,3,1,0)}

    T = {(1,2,0,0,1),(0,1,1,1,1),(1,2,3,1,0),(1,3,1,1,2)}


    ¿Hay que hacer una matriz y reducirla a su forma escalonada para ver si queda alguna fila con ceros no? 

    Me da que ambas tienen rango 3.


    Gracias.


    replythumb_up0 voto/sflag
    icon

    Antonius Benedictus
    el 26/5/17

    Parece correcto, Luis:


    thumb_up0 voto/sflag
  • icon

    Rubén
    el 26/5/17

    Hola unicoos, me pueden explicar por qué en este límite no se calcula las soluciones de √(x+6)+3? Es decir, se calculan las soluciones de por ejemplo la ecuación x²-4x+3, pero de esa no. Por qué?


    replythumb_up0 voto/sflag
    icon

    Axel Morales Piñón.
    el 26/5/17

    Por que con las raíces de la ecuación cuadrática, se elimina la indeterminación.

    thumb_up0 voto/sflag
    icon

    Rubén
    el 26/5/17

    Eso quiere decir que solo hay que calcular las soluciones de las ecuaciones que causen la indeterminación?

    thumb_up0 voto/sflag
    icon

    Axel Morales Piñón.
    el 28/5/17

    Así es Rubén. Con práctica te darás cuenta.

    thumb_up0 voto/sflag
  • icon

    Luis Viñedo
    el 25/5/17

    Por favor, un vídeo de límites exponenciales, limites en los que aparezcan bases elevadas a x

    replythumb_up0 voto/sflag
    icon

    Antonius Benedictus
    el 25/5/17

  • icon

    Inconnu
    el 25/5/17

    el 5

    replythumb_up0 voto/sflag
    icon

    Antonius Benedictus
    el 26/5/17

  • Usuario eliminado
    el 25/5/17

    Podeis decirme los intervales de crecimiento y decrecimiento?

    replythumb_up0 voto/sflag
    icon

    Victor
    el 25/5/17

    Creciente entre (-inf,0) u (2, inf)

    Decreciente en (0,2)

    thumb_up0 voto/sflag

    Usuario eliminado
    el 25/5/17

    Opino lo mismo. Pero Selectivitat dice que la solución es está


    thumb_up0 voto/sflag