Foro de preguntas y respuestas de Matemáticas

logo beUnicoos
Los foros de unicoos se han unificado en nuestra nueva plataforma beUnicoos. Para dejar nuevas preguntas deberás hacerlo allí, donde además podrás encontrar nuevas asignaturas y herramientas para ayudarte más con tus estudios.

  • icon

    Marcelo Barneche
    el 23/5/17

    hola, buenas tardes desde Argentina! me podrian ayudar con la derivada de (x-1)/ (xcubo-x).   Desde ya muchas gracias, me las paso viendo sus videos

    replythumb_up0 voto/sflag
    icon

    Hugo
    el 23/5/17

    Muestranos que has hecho, en la lupa consigues muchos videos (derivada de un cociente) vamos hazlo que sale facil, paso a paso lo explica, muestranos que has hecho y te ayudamos.

    thumb_up1 voto/sflag
    icon

    Guillem De La Calle Vicente
    el 23/5/17


    thumb_up1 voto/sflag
    icon

    Marcelo Barneche
    el 27/5/17

    gracias encontre un error muy pavo que estaba haciendo. Estaba derivando mal Xcubo... ponia 2x... cuando en realidad era 3xcuadrado

    thumb_up0 voto/sflag
  • icon

    Julio
    el 23/5/17

    Hola, me ayudarían con el 5

    replythumb_up0 voto/sflag
    icon

    Antonius Benedictus
    el 23/5/17


    thumb_up0 voto/sflag
  • icon

    Sebastian Canaviiri
    el 23/5/17

    Hola me. Ayudarían con este . Gracias es el 4 a y b

    replythumb_up0 voto/sflag
    icon

    Antonius Benedictus
    el 23/5/17

    ¿Podemos usar L'Hôpital?  ¿Y Taylor?

    thumb_up1 voto/sflag
    icon

    Sebastian Canaviiri
    el 23/5/17

    Sii ya me enseñaron las 2 :)

    thumb_up0 voto/sflag
    icon

    Antonius Benedictus
    el 23/5/17


    thumb_up0 voto/sflag
  • icon

    Guillem de la Calle
    el 23/5/17

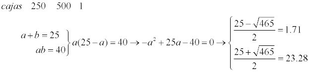
    Dado un segmento de longitud 25 haz dos trozos que den un rectángulo de área 40.

    replythumb_up0 voto/sflag
    icon

    César
    el 23/5/17

    terminalo tu ok?


    thumb_up0 voto/sflag
  • icon

    Lili
    el 23/5/17

    Una duda, ¿cómo puedo calcular la distancia entre r y s en el apartado B?

    Muchas gracias, que tengo mañana el examen y estoy muy perdida porque lo preparé por mi cuenta!

    replythumb_up0 voto/sflag
    icon

    Antonius Benedictus
    el 23/5/17

  • Usuario eliminado
    el 23/5/17
    flag

    Una pregunta, una Curva ROC puede alcanzar el punto (1, 0)? es que me ha caído en un examen y no tenía ni idea

    replythumb_up0 voto/sflag
    icon

    Antonius Benedictus
    el 23/5/17

    El punto (1,0) parece que no:


    thumb_up0 voto/sflag
  • icon

    Lili
    el 23/5/17

    Ayuda porfa,

    por qué sacan el vector u como (2,1,-3)? Yo creía que era (-2,-1,3)....

    GRACIAS

    replythumb_up0 voto/sflag
    icon

    Antonius Benedictus
    el 23/5/17

    Da lo mismo. Ambos dirigen la misma recta (y paralelas).

    thumb_up0 voto/sflag
  • icon

    B
    el 23/5/17

    Una pregunta, en los ejercicios de funciones por partes donde me manda estudiar su continuidad:

    ¿cuándo o cómo se si tienen discontinuidad asintótica? 

    No se cuando hay que calcularlo y cuando no. Ni como identificar si la hay. Me podrían mostraresultados algún ejemplo explicativo?

    replythumb_up0 voto/sflag
    icon

    Antonius Benedictus
    el 23/5/17

    Se produce en estos casos:


    thumb_up0 voto/sflag
  • icon

    Alejandra Martínez Parra
    el 23/5/17

    He intentado realizar la segunda derivada, ¿alguien podría decirme si está resuelto correctamente? Muchas gracias!!


    replythumb_up0 voto/sflag
    icon

    Victor
    el 23/5/17

    Si, lo está. Lo único que te faltaría por hacer sería sacar factor común al numerador 16x(x^2+12)


    Aquí tienes una herramienta útil para comprobaciones.

    http://es.symbolab.com/solver/derivative-calculator

    thumb_up0 voto/sflag
    icon

    Antonius Benedictus
    el 23/5/17

    Si pones el enunciado, podríamos verlo mejor.

    thumb_up0 voto/sflag
  • icon

    Fran Moreno
    el 23/5/17

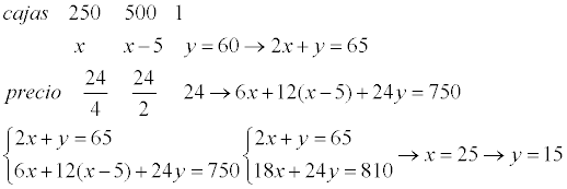
    el resultado que he obtenido es cajas de 250g= 25, de 500g= 20 y de 1kg= 15, esta bien?


    replythumb_up0 voto/sflag
    icon

    Antonius Benedictus
    el 23/5/17

    ¡Correcto!


    thumb_up0 voto/sflag
    icon

    César
    el 23/5/17

    Pues parece que si, se hubiera agradecido tu desarrollo


    thumb_up0 voto/sflag