Necesito ayuda urgente! Geometría en el espacio de 2º Bachillerato. ¿Por qué al calcular el área de un triángulo y el volumen de un tetraedro, que forman parte de un plano y cuyos vértices están en el eje de coordenadas me dan valores diferentes dependiendo que vector coja? ¿Supuestamente debería dar lo mismo no? He tenido cuidado de coger los vectores correctos para realizar el producto vectorial y mixto, es decir, no he cogido vectores al azar. El resultado me da la mitad de lo que debería darme. No sé que fallo estoy cometiendo :'(
Gracias por su atención
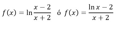
Buenas tardes ¡MAÑANA TENGO EXAMEN! Y no pillo cómo hacer el dominio de esta función. Porque tengo dos soluciones diferentes. Os la paso. GRACIASS

Debe poner un ejercicio claro , legible , eso es un garabato total .
De lo poco que se entiende si usted quiere dominio de una función , dado que en este caso numerador y denominador son polinomios entonces se debe restringir únicamente que el denominador se diferente de cero , es decir x no debe tomar -1
Por lo tanto
Dom = R - { -1}

Lo siento Neofito, pero estoy en completo desacuerdo contigo. Alejandra está poniendo un ejercicio de dominios de una función logarítmica y no sabe cómo tiene que proceder.
En una función logarítmica tienes que tener en cuenta, Alejandra, que lo de dentro del logaritmo no puede ser ni negativo ni igual a cero.
De esta manera, tenemos dos posibilidades:
1) Tanto el numerador como denominador tienen que ser positivos.
2) Tanto el numerador como denominador tienen que ser negativos.
Plantea las inecuaciones pertinentes.
Para el caso de que tanto el numerador como el numerador sean positivos, tienes un resultado dom f(x) = (-1,2)
Para el caso de que el num y el denominador sean negativos, no tenemos ningún resultado ya que no hay ningún valor común de x que verifique la inecuación en ambos lugares.

Disculpen ustedes pero yo no tengo el ojo que poseen , yo no pude traducir ese " garabato total " como logaritmo neperiano , pensé que esa era alguna mancha algún borrón y que la función era la siguiente
f(x) = (2-x)/(x+1)
que quede claro que mi solución está referida a esta función .
Es deber creo yo que quien pide ayuda debe tener la amabilidad de poner un ejercicio claro y legible , sino uno interpreta una cosa diferente de la que es .