El eje OX representa la banda de una mesa de billar. Una bola que está situada en el punto A(1,6) tiene que tocar la bola situada al punto B(5,2) después de rebotar en la banda (cuando la bola de billar rebota en la banda, los ángulos de la figura son iguales).
Determinad:
a) El punto exacto P donde la bola debería de topar con la banda.
b)La ecuación de la trayectoria inicial que tiene que seguir la bola.
c) la ecuación de la trayectoria que sigue la bola después de haber topado con la banda, hasta tocar la bola en el punto B.
d) El ángulo entre las trayectorias AP y PB
Me dan esta gráfica

Puedes plantear las coordenadas del punto: P(x,0).
Luego, observa que el ángulo de inclinación de la recta AP es: a = 180° - α, por lo que su pendiente queda: m1 = tana = - tanα;
luego planteas la pendiente con las coordenadas de los puntos A y P: (6 - 0)/(1 - x) = 6/(1 - x) = - tanα, de donde despejas: tanα = - 6/(1 - x) (1).
Luego, observa que el ángulo de inclinación de la recta PB es β, por lo que su pendiente queda: m2 = tanβ.
luego planteas la pendiente con las coordenadas de los puntos P y b: (2 - 0)/(5 - x) = 2/(5 - x) = tanβ (2).
Luego, tienes en el enunciado que los ángulos α y β tienen medidas iguales, por lo que puedes plantear:
tanα = tanβ, sustituyes las expresiones señaladas (1) (2) y queda:
- 6/(1 - x) = 2/(5 - x), haces pasajes de divisores como factores y queda:
- 6(5 - x) = 2(1 - x), distribuyes en ambos miembros y queda:
- 30 + 6x = 2 - 2x, haces pasajes de términos y queda:
8x = 32, haces pasaje de factor como divisor y queda:
x = 4, de donde tienes que el punto tiene coordenadas: P(4,0).
La pendiente de la recta AP queda: m1 = 6/(1 - 4) = 6/(-3) = - 2, y su ecuación queda:
y - 6 = - 2(x -1), cuya forma explícita es: y = - 2x + 8.
La pendiente de la recta PB queda: m2 = 2/(5 - 4) = 2/1 = 2, y su ecuación queda:
y - 2 = 2(x - 5), cuya forma explícita es: y = 2x - 8.
Si tomamos las inclinaciones de las rectas AP y PB con respecto al semieje OX positivo, tienes:
Para la recta AP: m1 = - 2, de donde tienes: θ1 = arctan(-2) ≅ - 63,43°,
para la recta PB: m2 = 2, de donde tienes: θ1 = arctan(2) ≅ 63,43°;
luego, tienes para el ángulo que forman las trayectorias: θ = θ2 - θ1 ≅ 63,43°- 63,43° = 126,86°.
Si piden la medida del ángulo formado por las rectas AP y PB, con vértice en el punto P que se ve en el gráfico, tienes:
φ ≅ 180° - 63,43°- 63,43° = 180° - 126,86° = 53,14°.
Espero haberte ayudado.
Explica razonadamente algún método para decidir si 3 puntos del plano dados por sus coordenadas A(a1,a2) B(b1,b2) C(c1, c2), están alineados o no lo están. Decide, aplicando el método que has explicado, si los puntos (-2, -3), (-3,0) y (6,2) están alienados o no.

Puedes plantear (suponemos que las rectas AB y AC no son paralelas al eje coordenado OY):
pendiente de la recta que pasa por A y B: m1 = (b2 - a2)/(b1 - a1),
pendiente de la recta que pasa por A y C: m2 = (c2 - a2)/(c1 - a1),
luego tienes dos opciones:
1°) m1 ≠ m2, tienes que las dos rectas pasan por el punto A y no son paralelas,por lo tanto los tres puntos no están alineados;
2°) m1 = m2, tienes que las dos rectas pasan por el punto A y si son paralelas, por lo tanto son coincidentes y los tres puntos están alineados.
En tu enunciado tienes los puntos: A(-2,-3), B(-3,0), C(6,2), y las pendientes quedan:
m1 = ( 0 - (-3) ) / ( -3 - (-2) ) = 3/(-1) = - 3,
m2 = ( 2 -(-3) ) / ( 6 - (-2) ) = 5/8,
y como las pendientes son distintas, tienes que los tres puntos no están alineados.
Espero haberte ayudado.
Cuantas rectas del plano pasan por el punto P(1,-2) y forman un ángulo de 45º con la recta de la ecuación r: 4x-3y+2=0? Dad las ecuaciones de todas las que hay.

Puedes plantear la ecuación del Haz de Rectas que pasan por el punto de coordenadas: P(1,-2) (llamamos m a la pendiente de las rectas del Haz):
y - (-2) = m(x - 1), de donde despejas: y = m(x - 1) - 2 (1).
Luego, planteamos la ecuación explícita de la recta: y = (4/3)x + 2/3, y observa que su pendiente es 4/3..
Luego, tienes para el ángulo de inclinación θ de una recta genérica del Haz: tanθ = m (2).
Luego, tienes para el ángulo de inclinación α de la recta: tanα = 4/3 (3), que corresponde al ángulo α ≅ 53,13°.
Luego, planteamos dos opciones:
1)
θ - α = 45°, de donde despejamos: θ = α + 45°, y luego planteamos para su tangente:
tanθ = m = (tanα + tan45°)/(1 - tanα*tan45°) = (4/3 + 1)/(1 - 1*4/3) = (7/3)/(-1/3) = - 7, que corresponde al ángulo θ ≅ 98,13°,
luego reemplazas en la ecuación del Haz señalada (1) y tienes la ecuación de la recta correspondiente:
y = - 7(x - 1) - 2.
2)
θ - α = - 45°, de donde despejamos: θ = α - 45°, y luego planteamos para su tangente:
tanθ = m = (tanα - tan45°)/(1 + tanα*tan45°) = (4/3 - 1)/(1 + 1*4/3) = (1/3)/(7/3) = 1/7, que corresponde al ángulo θ ≅ 8,13°,
luego reemplazas en la ecuación del Haz señalada (1) y tienes la ecuación de la recta correspondiente:
y = (1/7)(x - 1) - 2.
Espero haberte ayudado.
Sea θ el ángulo entre dos rectas L1 y L2. Entonces, tanθ = (m2 - m1)/(1+m2 m1) donde m1 y m2 son las pendientes de L1 y L2.
la recta r: 4x-3y+2=0 tiene pendiente mr = 4/3, y con θ = 45° tenemos dos posibles pendientes (y por tanto, dos posibles rectas): una con (m2 - m1) y la otra con (m1 - m2)
sea mA la pendiente de LA que forma 45° con r, entonces,
tan45° = (mr - mA)/(1+mr mA) = 1
(4/3 - mA)/(1+4/3 × mA) = 1 ==> mA = 1/7 como P(1,-2) ∈ LA entonces LA: y = 1/7 (x-1) -2 ==> LA: x - 7y -15 = 0
Ahora sea mB la pendiente de LB que forma 45° con r, entonces,
tan45° = (mB - mr)/(1+mr mB) = 1
(mB - 4/3)/(1+4/3 × mB) = 1 ==> mB = -7 como P(1,-2) ∈ LB entonces LB: y = -7 (x-1) -2 ==> LB: 7x + y -5 = 0
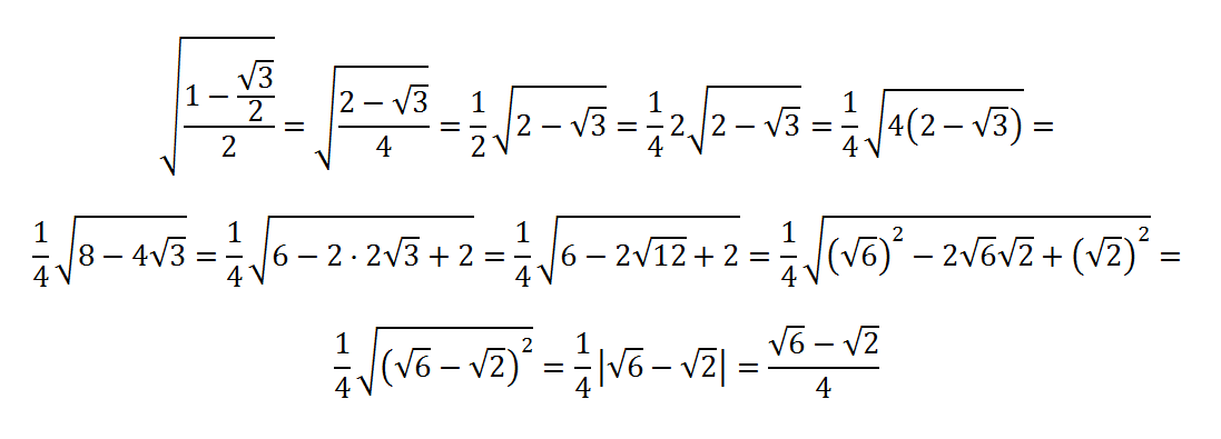
Al calcular sen15° por dos métodos diferentes llegamos a los siguientes resultados:
por un lado, usando la identidad de sen(A-B) = senA cosB - senB cosA, tenemos sen15° = sen(45°-30°) = (√6 - √2)/4 (resultado 1)
ahora usando la identidad senA = √[1/2 (1-cos(2A))], tenemos sen15° = √[1/2 (1-cos30°)] = 1/2 × √(2-√3) (resultado 2)
Usando métodos algebraicos ¿cómo puedo llegar del resultado 2 al resultado 1?