Supone que A=(0,0), B=(a,0), y C=(b,c).
Da las ecuaciones de las rectas que pasan por A,B, por B,C, y por A,C.

1)
Para la recta que pasa por A y B:
pendiente = m = (0-0)/(a-0) = 0/a = 0 (con a ≠ 0);
ecuación: y - 0 = 0(x - 0), resolvemos términos y queda: y = 0.
2)
Para la recta que pasa por B y C
pendiente = m = (c-0)/(b-a) = c/(b-a) (con b-a ≠ 0);
ecuación: y - 0 = ( c/(b-a) )(x - a), resolvemos términos y queda: y = ( c/(b-a) )x - ac/(b-a).
3)
Para la recta que pasa por A y C:
pendiente = m = (c-0)/(b-0) = c/b (con b ≠ 0);
ecuación: y - 0 = (c/b)x, cancelamos el término nulo y queda: y = (c/b)x (con b ≠ 0).
Espero haberte ayudado.

¡Hola! Nos encantaría ayudarte, pero no solemos responder dudas universitarias que no tengan que ver específicamente con los vídeos que David ha grabado como excepción. O de otras asignaturas que no sean Matemáticas, Física y Química. Lo sentimos de corazón… Esperamos que lo entiendas.
Ojalá algún unicoo universitario se anime a ayudarte (de hecho lo ideal es que todos los universitarios intentarais ayudaros los unos a los otros).
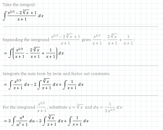
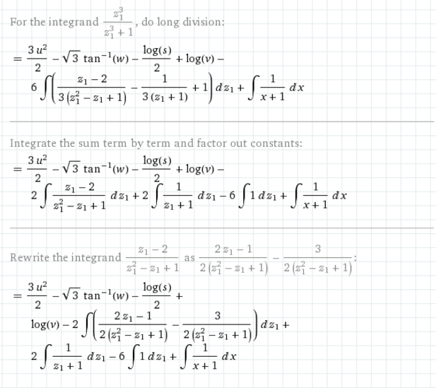
Hola a todos, esta es una de las 2 integrales de un taller que hasta el momento no he podido resolver. Les agradeceria si pueden echarme una mano, o darme ideas.
Hola necesito que me ayuden con este ejercicio:
hallense los valores de la funcion:
g(x,y) = ln|x+y|
a) g(2,3) b) g(5,6)
solo debo sustituir los valores en la funcion?