Hola! A ver si hay alguien que me pueda ayudar... este tema se me da bastante mal! Sé que en el apartado a) la pendiente es 2/-3 pero a partir de ahí ya no sé cómo seguir... muchas gracias de antemano!
Dados los puntos A(2,3) y B(-1,5) realizar las siguientes cuestiones:
a) Calcular la pendiente de la recta que pasa por los puntos A y B.
b) Calcular el ángulo que forma la recta anterior con el eje OX.
c) Obtener la ecuación de la recta anterior en forma general.
d) Obtener la ecuación de la recta que pasa por el punto B y es paralela a la recta 2x+y-4=0
Inducción
Para todo n≥1, 4n-3n-1 es divisible por 9.

Puedes formular la proposición en la forma:
P(n): 4n - 3n - 1 = 9u, con u ∈ Z, n ≥ 1.
Luego, planteamos el Principio de Inducción Completa:
1)
P(1): 41 - 3*1 - 1 = 4 - 3 - 1 = 0 = 9*0, y 0 ∈ Z, por lo que es Verdadera.
2)
P(h): 4h - 3h - 1 = 9p, con p ∈ Z, h ≥ 1 (Hipótesis Inductiva).
3)
P(h+1): 4h+1 - 3(h+1) - 1 = 9q, con q ∈ Z,
4)
Demostración:
P(h+1): 4h+1 - 3(h+1) - 1 = 4h4 - 3(h+1) - 1 = agregamos términos opuestos en el factor del primer término y queda:
= (4h - 3h - 1 + 3h + 1)4 - 3(h+1) - 1 = aplicamos la Hipótesis Inductiva y queda:
= (9p + 3h + 1)4 - 3(h+1) - 1 = distribuimos y queda:
= 36p + 12h + 4 - 3h - 3 - 1 =
reducimos términos semejantes (observa que tenemos cancelación de términos numéricos) y queda:
= 36p + 9h = extraemos factor común y queda:
= 9(4p + h) = 9q,
con q = 4p + h que pertenece al conjunto de los números enteros por ser producto y suma entre enteros (p y h).
5)
Conclusión:
P(1) es Verdadera, t
P(h) → P(h+1) es Verdadera,
por lo tanto P(n) es Verdadera.
Espero haberte ayudado.
Supone que A=(0,0), B=(a,0), y C=(b,c).
Las ecuaciones de las rectas que pasan por:
Da la ecuación de la bisectriz del ángulo
∠BAC.

Observa que los puntos A y B pertenecen al eje OX, por lo que tienes que la bisectriz del ángulo BAC divide al ángulo de inclinación (α) de la recta que pasa por A y C en dos partes iguales
Luego, puedes aplicar la identidad trigonométrica:
tan(α/2) = √( (1-cosα)/(1+cosα) ) = m (pendiente de la recta bisectriz pedida),
y también puedes aplicar la identidad:
cosα = 1/√(1+tan2α) = 1/√(1+M2),
donde M = c/b (pendiente de la recta que pasa por A y por C:
Haz todos los reemplazos, y a ecuación queda: y = mx.
Espero haberte ayudado
Hola, alguien sabe cuál es la derivada de e∧-x ??
Y otra cosa más. Cuando tengo xe∧x = 0, cuál es el valor de x para que se cumpla esa ecuación?

1)
Tienes la función cuya expresión es:
f(x) = e-x, aplicas la regla de la cadena y tienes: f ' (x) = e-x(-1) = - e-x.
2)
Tienes la ecuación:
xex = 0,
luego, recuerda que la función exponencial toma valores estrictamente positivos (por o tanto: ex ≠ 0),
por lo que haces pasaje de factor como divisor y queda:
x = 0/ex,
resuelves el segundo miembro y queda:
x = 0.
Espero haberte ayudado.
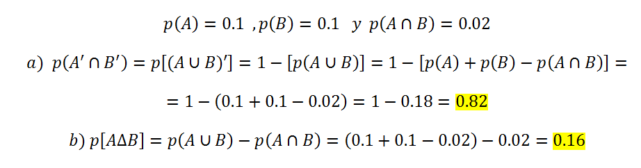
¿Podrían resolverme este ejercicio?
En una ciudad se publican dos periódicos, el periódico A y el periódico B. La probabilidad de que una persona lea el periódico A es 0.1 , la probabilidad de que una persona lea el periódico B es 0.1 y la probabilidad de que lea ambos es 0.02.
a) Calcular la probabilidad de que una persona no lea ningún periódico.
b) Calcular la probabilidad de que una persona lea solo un periódico.
Hola ¿me podríais ayudar con este ejercicio?, es que he visto los vídeos correspondientes a la teoría pero sigo sin entender el procedimiento que habría que seguir. Muchas gracias!
Después de varios años de pruebas de Selectividad se ha comprobado que las calificaciones siguen una distribución normal de media 6,3 y desviación típica de 0,7. Halla:
-La probabilidad de que un alumno suspenda.
-Si un centro presenta 80 alumnos a la prueba, ¿qué número aproximado de alumnos de dicho centro cabe esperar que superen la prueba?
Hola buenas, me han surgido dudas haciendo estos ejercicios de aplicaciones lineales. Se hacen mediante las bases canonicas?
Sea f la aplicacion lineal tal que f(−1, 1) = (−8, 5) y f(2, 2) = (−9, 4). Determina f(x, y) y f(−15, 10).
Sea f : R1[x] → R1[x] la aplicacion lineal tal que f(−1+x) = −8+5x y f(2+2x) = 4 + 9x. Determina f(a + bx) y f(10x − 15).
muchas gracias

Puedes plantear:
a)
f(-1,1) = f(-1,0) +f(0,1) = - f(1,0) + f(0,1) = - u + v = (-8,5),
f(2,2) = f(2,0) + f(0,2) = 2f(1,0) + 2f(0,1) = 2u + 2v = (-9,4);
luego resuelves el sistema formado por las ecuaciones remarcadas y tienes:
u = f(1,0) = (7/4,-3/2),
v = f(0,1) = (-25/4,7/2);
luego, tienes:
f(x,y) = f(x,0) + f(0,y) = xf(1,0) + yf(0,1) = x(7/4,-3/2) + y(-25/4,7/2) = (7x/4-25y/4,-3x/2+7y/2),
f(-15,10) = (-105/4-125/2,45/2+35) = (-355/4,115/2).
b)
f(-1 + x) = f(- 1) + f(x) = - f(1) + f(x) = - u + v = - 8 + 5x,
f(2 + 2x) = f(2) + f(2x) = 2f(1) + 2f(x) = 2u + 2v = 4 + 9x;
luego resuelves el sistema formado por las ecuaciones remarcadas y tienes:
u = f(1) = 5 - x/4,
v = f(x) = - 3 + 19x/4;
luego, tienes:
f(a + bx) = f(a) + f(bx) = af(1) + bf(x) = a(5 - x/4) + b(- 3 + 19x/4) = (5a - 3b) + (- a/4 + 19b/4)x,
f(10x - 15) = f(- 15 + 10x) = - 105 + 205x/4.
Espero haberte ayudado.