Unimos A' con B y B' con A. Obtenemos dos triángulos ΔCB'A y ΔCA'B, que son iguales [¿Por qué?]
Me podrían ayudar a entender este razonamiento que no entiendo el porqué.

Sea ACB un triángulo isósceles de lados AC y BC iguales. Queremos ver que los ángulos CAB y CBA son iguales. Hacemos los pasos y razonamientos:
1. Prolongue CA y CB y, a partir de los vértices A y B, añadimos una misma recta. Obtenemos los puntos A' y B' que hacen que los segmentos AA' y BB' sean iguales.
2. Unimos A' con B y B' con A. Obtenemos dos triángulos ΔCB'A y ΔCA'B, que son iguales [¿Por qué?]
3. Entonces los triángulos ABB' y BAA' tambien son iguales. [¿Por qué?]
4.Finalmente, los ángulos CAB y CBA son iguales. [Por qué?]
Cuantos centímetros miden los lados iguales de un triángulo rectángulo isósceles cuya hipotenusa es 1dm??

hola Brenda:
los lados de un triangulo isosceles se caracterizan porque dos de ellos son iguales entre si entonces sabiendo esto y aplicando el teorema de pitágoras:
hipotenusa al cuadrado es igual a la suma del cuadrado de los catetos
h^2= c1^2 + c2^2 ---> aplicando que c1=c2 ----> h^2= c1^2 +c1^2 ------> h^2 = 2* c1^2 --------> h=1 entonces-----> 1/2 = c1^2 ------> c1= sqrt( 1/2) =c2
por lo tanto c1= c2 = raiz cuadrada de (1/2)
Considera el siguiente enunciado: <<Sean x, y ∈ ℛ, con x≠3. Si x²y=9y, entonces y=0>>.
Encuentra cuál es el error de la pretendida demostración siguiente:
Prueba: Supongamos que x²y=9y. Entonces (x²-9)y=0. Cómo que x≠3, x²≠9 y por tanto x²-9≠0. Así podemos dividir por x²-9 los dos términos de la ecuación (x²-9)y=0 y obtenemos y=0, que es lo que queríamos demostrar.
Los puntos A(2,3) C(-3,5) D(7,-4) y B son vértices del paralelogramo ABCD. Calculad las coordenadas del vértice B.
Ayuda por favor, no se lo que tengo que hacer

Que algún experto nos ilumine en este ejercicio.
Al hacerlo vi algo raro. Generalmente te dicen que a, b, c, d son puntos consecutivos en un paralelogramo. Al hacerlo me dio un resultado raro la primera vez, así que decidí representar los puntos en una gráfica para ver qué pasaba.
Lo que ocurre es que los puntos no son consecutivos. Pero bueno, vista la representación, hallé el vector CD y se lo sumé a A. Me da como resultado (12, -6)
Realmente el paralelogramo sería ABDC.
Si alguien puede arrojar algo de luz sobre como hacerlo siempre sin necesidad de representación lo agradeceré, ya que representar en 3 dimensiones es más difícil.
Mi duda es más bien sobre la inecuación que está en la imagen, sí sé resolver inecuaciones más básicas; pero tengo una duda ahí dónde hay una fracción sobre otra fracción. Creo que quedaría como una multiplicación por extremos, si es así ¿dónde debería colocar el uno para que quede nivelado?
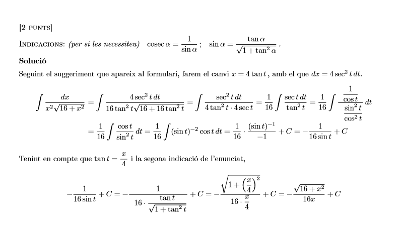
Hola, estaba haciendo ejercicios y cuando he mirado la corrección de la integral, hay cosas que no me quedan claras.
En cambio de variable lo entiendo (lo aplica en el primero =) pero en el segundo = no entiendo que hace para que le quede eso.
Veo que simplifica por 4 pero lo de la secante, no se de donde se lo saca
Esta en catalán si no entendéis algo, pedid la traducción.
Gracias de entemano