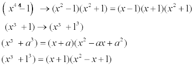
Esta bien la descomposición de estos polinomios?
(x⁴-1) = (x-1) (x+1) (x²+1)
(X³+1) = (x+1) (x²-x+1)
En caso de estar mal podría corregir y decirme el error?
he visto vídeos pero no me queda claro
Porqué
el apartado h) el resultado es -infinito en vez de infinito?
Es Una indeterminación del tipo infinito partido de infinito. Por tanto, como el grado mas alto de x arriba es x elevado a 3, sería - infinito, como acabo es elevado a dos, sería más infinito, por tanto -infinito/+infinito es igual a menos infinito, no entiendo entonces por qué el resultado es más infinito
MUCHÍSIMAS GRACIAS!!
Cuanto vale el producto escalar de un vector por si mismo?
Como sé yo que dos vectores son base?
Hay algún video que explique la combinación lineal de vectores? Alguien me puede explicar que es? Gracias!!

Cuando planteas un vector multiplicado por escalares reales, estás aplicando una combinación lineal, que es en sí multiplicar por escalares reales
Ej: puedo obtener el vector (6,3) si expreso el vector (2,1) como combinación lineal respecto a la base {(3,0);(0,3)}
(3,0).(2,1) + (0,3).(2,1)
(3.2,0.1) + (0.2,3.1)
(6,0) + (0,3)
(6+0,0+3)
(6,3)