Hola me podeis decir como se hace este ejercicio de matemáticas por favor
El área de un cuadrado es 1089 dmcuadrados. calcula el área del hexágonoregular que tiene su mismo perímetro
Muchas gracias
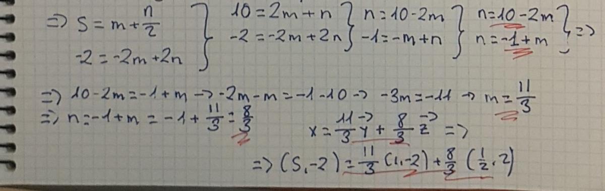
Hola, necesito saber como hacer que este determinante sea igual al siguiente: 2 2 3
0 3x y z x y z =10
0 3a 2b 3c a 2b 3b
0 6 2 3
5 0 0 0
Utiliza para la matríz 3x3 Sarrus: http://www.unicoos.com/video/matematicas/2-bachiller/determinantes/calculo-de-determinantes/determinante-3x3-regla-de-sarrus
y para 4x4 Chio: http://www.unicoos.com/video/matematicas/2-bachiller/determinantes/calculo-de-determinantes/determinante-4x4-por-adjuntos-cofactores
Una pequeña observación, en el ranking de "help points" he notado que no suben. Reportar el error técnico.
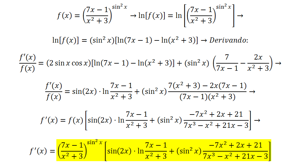
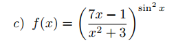
tengo 2 funciones
g(x) = 6.7sen(0.42x - 0.1) - 0.15
f(x) = 7sen(0.46x - 1.9) + 6.8
estas las derive y me quedaron
f '(x) = 7(cos(0.46x - 1.9)(0.46))
g '(x) = 6.7(cos(0.42x - 0.1)(0.42))
y las volvi a derivar para hallar la derivada segunda
f ''(x) = 1.4812(-sen(0.46x-1.9))
g ''(x) = 1.18188(-sen(0.42x - 0.1))
Tengo que hallar los puntos criticos de la derivada segunda igualandola a 0 y se que seran infinitos puntos porque la funcion es secuencial pero quiero saber el valor maximo que alcanzara infinitas veces como hago

¿¿?? Para obtener los maximos y los minimos se iguala a cero la PRIMERA DERIVADA...
TE SUGIERO ESTOS VÍDEOS...
x-4/5 - 4(-2x+1) - (-4x+2)/10 =2(x-3)+ 5x+6/2
graciaas