¿Por qué Tesla dijo que 3,6,9 era la clave del universo?
"Si sólo supieras la magnificencia de los 3, 6 y 9, entonces tendrías una llave para el universo".
No sé nada sobre esto, así que necesito una explicación detallada, por favor, acláreme.
Seguro que sabes sobre los puntos más notables de una circunferencia...
360 grados: 3+6+0= 9
180 grados: 1+8+0=9
90: 9+0=9
45: 4+5=9
22.5: 2+2+5=9
11.25: 1+1+2+5=9
Triangulo:
60*3= 180----> 1+8+0=9
Cuadrado, pentágono, hexágono, heptágono....n-ágono....juega con los grados de cada uno de ellos y verás que también están relacionados
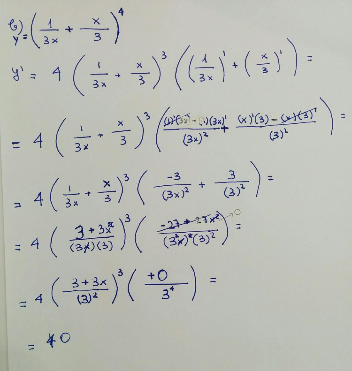
Hola Unicoos,
Me pueden ayudar paso a paso a simplificar a partir de lo que tengo mal y decirme los fallos en esta derivada.
Muchísimas gracias
Hasta lo encuadrado en rojo lo veo correcto.
Lo que está entre amarillo no está bien.
Lo siguiente se contagia del error anterior y contagia a todo lo demás, resulta en cero (que no es correcto, repásalo)
((es preferible que te "plantes" en lo encuadrado en rojo y maquilles un poco si no estás totalmente segura de que el proceso que vayas a seguir sea lícito))
Solo reemplaza el valor de "x" del punto que te dan en la función e igualas al valor de "y" del mismo puto.. Luego despejas la incógnita
A(-2,3). f(x)= x^2 + 2x + a
Reemplazamos el valor de "x" del Punto, es decir por -2 en la Función e igualamos al valor de "y" es decir 3
(-2)^2 + 2(-2) + a = 3
4 - 2 + a = 3
a = 3 - 4 + 2
a = 1
Haces lo mismo para el Otro
Si f'(x) = x^3 -2x +1 i f(1) = 2 cuál es la expresión de f(x)?
Tenemos en el enunciado que f(1)=2
1º Integras y obtienes:
f(x)= [(x^4)/4] - x^2 + x + C
2º Obtenemos que f(1):
f(1)= [(1^4)/4] - 1^2 + 1 + C = 1/4 - 1 + 1 + C = 2
3º Despejamos C:
1/4 - 1 + 1 + C = 2 ----------------> C = 2 -(1/4) ---------> C= 7/4
4º) Sustituimos para obtener f(x), con constante incluida:
f(x)= [(x^4)/4] - x^2 + x + 7/4 <--------------SOLUCIÓN
¿Alguién me puede ayudar con este problema?
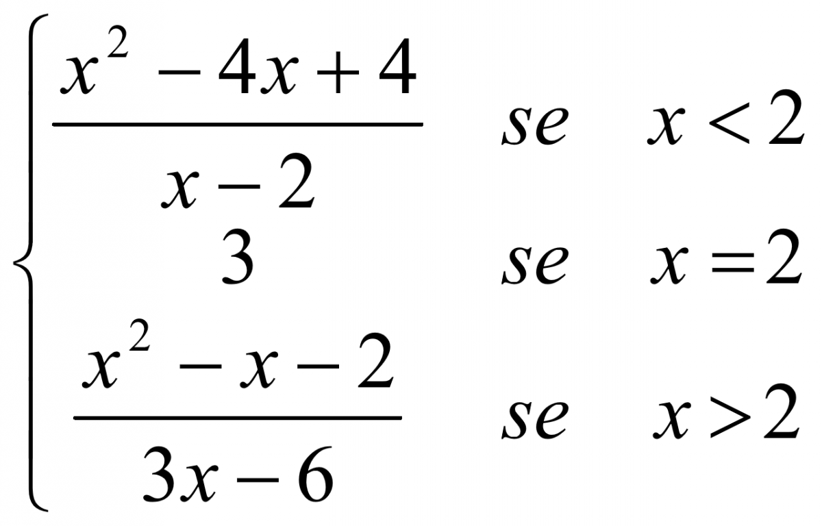
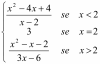
Estudia la continuidad de estas funciones en los puntos indicados:

En ambos ejercicios aplicamos la definición de continuidad de una función en un punto de su dominio.
a)
f(-1) = - 4/3;
Lím(x→-1) f(x) = Lím(x→-1) (x4-1)/(x3+1) = factorizamos el numerador y el denominador:
= Lím(x→-1) ( (x+1)(x-1)(x2+1) / (x+1)(x2-x+1) ) = simplificamos:
= Lím(x→-1) (x-1)(x2+1) / (x2-x+1) ) = - 4/3;
luego, tenemos que la función es continua en x = -1.
b)
g(2) = 3;
Lím(x→2-) g(x) = Lím(x→2-) (x2-4x+4)/(x-2) = factorizamos el numerador = Lím(x→2-) (x-2)2/(x-2) = simplificamos = Lím(x→2-) (x-2) = 0,
Lím(x→2+) g(x) = Lím(x→2+) (x2-x-2)/(3x-6) = factorizamos el numerador y el denominador:
= Lím(x→2+) ( (x-2)(x+1) / 3(x-2) ) = simplificamos = Lím(x→2+) (x+1)/3 = 1,
luego, como los límites laterales no coinciden, tenemos que el límite no existe,
por lo que concluimos que la función no es continua en x = 2, y que la gráfica de la función presenta un salto en dicho punto.
Espero haberte ayudado.

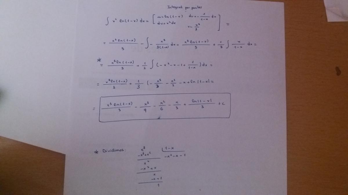
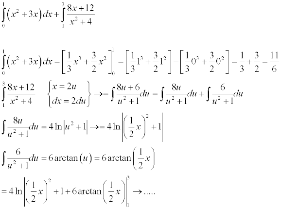
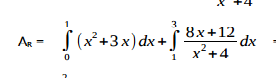
Observa que la primera integral es directa:
I1 = [ x3/3 + 3x2/2 ] = evaluamos = (13/3 + 3*12/2) - (03/3 + 3*02/2) = (1/3 + 3/2) - (0 + 0) =11/6.
Luego, para la segunda integral, obaserva que su argumento puede escribirse:
(8x+12)/(x2+4) = 8x/(x2+4) + 12/(x2+4) = 4*2x/(x2+4) + 12/(x2+4);
luego, tienes que la segunda integral pude plantearse como suma de dos integrales:
I2 = 4* ∫ 2x/(x2+4) dx + 12* ∫ 1/(x2+4) dx;
luego (revisa tus apuntes de clase) tienes que
la integral del primer término se resuelve por medio de la sustitución (cambio de variable): w = x2, y que
la integral del segundo término es directa e igual a: (1/2)*arctan(x/2) + C;
y luego de resolver y sustituir para obtener la expresión de la integral en función de x debes evaluar entre 1 y 3:
Por último, la solución del ejercicio queda como la suma de las dos integrales: I = I1 + I2.
Espero haberte ayudado.