
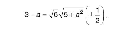
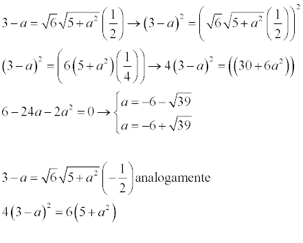
Puedes comenzar por elevar al cuadrado en ambos miembros de la ecuación, y queda:
(3 - a)2 = ( √(6)*√(5 + a2)*(±1/2) )2,
luego desarrollas el binomio elevado al cuadrado en el primer miembro, distribuyes el exponente y simplificas en el segundo miembro y queda:
9 - 6a + a2 = 6*(5 + a2)*1/4, multiplicas en todos los términos de la ecuación por 2 y queda:
18 - 12a + 2a2 = 3*(5 + a2)*1, distribuyes en el segundo miembro y queda:
18 - 12a + 2a2 = 15 + 3a2, haces pasajes de términos y queda:
- a2 - 12a + 3 = 0, multiplicas en todos los términos de la ecuación por -1 y queda:
a2 + 12a - 3 = 0, que es una ecuación polinómica cuadrática cuyas soluciones son:
1) a = (- 12 - √(156)/2 = - 6 - √(39) ≅ - 12,245,,
2) a = (- 12 + √(156)/2 = - 6 + √(39) ≅ 0,245.
Luego, queda para que verifiques la validez de las soluciones, para lo que puedes reemplazar en la ecuación del enunciado,
y observa que el primer miembro es positivo en ambos casos.
Espero haberte ayudado.
Buenos días!
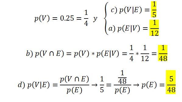
En el último exámen de matemáticas aplicadas el profesor planteó este problema de probabilidad:
"En una población, el 25% está vacunado. De cada 10 enfermos, 2 están vacunados. De cada 12 vacunados, uno cae enfermo.
a) Caiga enfermo estando vacunada.
b) Esté enfermo y vacunado.
c) Enferma esté vacunada.
d) Esté enfermo
Al principio pensé que sería género, pero como en el enunciado no dice nada lo descarté, luego me di cuenta que se refiere a que una persona sea vacunada después de estar enferma, o que caiga enferma después de ser vacunada. Y lo resolví así:
a) P(enferma/vacunado)= 1/12
b) P(enfermo/vacunado)= 2/10
c) P(enferme/vacunado)= P(A∩B)= 2/10 · 1/12= 2/120
d) P(enfermo)= P(A∪B)= P(A) + P(B) - P(A∩B)= 2/10 + 1/12 - 2/120= 4/15
- P(caer enfermo no estando vacunado)= 1-P(enfermo/vacunado)= 1- 1/12= 11/12
No creo que esté bien... mil gracias por la ayuda!
Cómo se hace para calcular el área de la base de un paralelepípedo? Gracias!