Hola buenas tardes antes de todo dar las gracias por leer este comentario, me gustaría saber si podríais resolverme está duda.
Ejercicio: de una urna que contiene 9 bolas rojas y 5 negras se extraen, sucesivamente 2 bolas. Halla la probabilidad de que sean:
E) las dos negras
F) las dos rojas
G) la primera roja y la segunda negra
H) una roja y otra negra.
Soluciones:
E) 5/14 • 4/13: todo correcto
F) 9/14 • 8/13: todo correcto
G) 9/14 • 5/13 : yo puse esta solución y me la dieron por correcta pero mi duda es: 9/14• 5/13 es lo mismo que 5/13• 9/14. Y según mi lógica la probabilidad de que primero sea una roja y luego una negra a hacerlo a la inversa debería variar .
H) yo di 2 posibles soluciones
14/14 + 5/13: si la primera bola es roja
14/14 + 9/13: si la primera bola es negra.
Este último me lo dieron por erróneo y me dijeron que solo había una solución y la lógica me dice que depende del color de la primera bola habrá una solución o otra.
Mis dudas están en los ejercicios g y h
Si te as tomado las molestias de leerlo ya consigas solucionarme la duda o no muchas gracias
Un saludo
David Bonachea Martinez

Comienza por plantear la expresión de la función derivada:
f ' (x) = 3x2 - 1,
luego evalúa la expresión de la función, y la expresión de la derivada, para x = - 1:
f(-1) = (-1)3 - (-1) = - 1 + 1 = 0, y ya tienes las coordenadas del punto de contacto: A(-1,0),
f ' (-1) = 3(-1)2 - 1 = 3 - 1 = 2, y ya tienes la pendiente de la recta tangente para el punto de contacto: m = 2.
a)
Plantea la ecuación cartesiana de la recta tangente a la gráfica de la función en el punto A:
y - 0 = 2( x - (-1) ), distribuyes y tienes la ecuación cartesiana explícita: y = 2x + 2.
b)
Plantea la condición de intersección entre la gráfica de la función y la recta tangente, por medio del sistema de ecuaciones:
y = x3 - x
y = 2x + 2,
igualas y queda:
x3 - x = 2x + 2, haces pasajes de términos y queda:
x3 - 3x - 2 = 0,
observa que x = 2 es una solución, por lo que factorizas en el primer miembro con la Regla de Ruffini (te dejo la tarea) y queda:
(x - 2)*(x2 + 2x + 1) = 0,
luego factorizas el segundo factor (observa que es un trinomio cuadrado perfecto) y queda:
(x - 2)*(x + 1)2 = 0,
cuyas soluciones son:
x = -1, al que corresponde: y = 0, y el punto de contacto A(-1,0), y
x = 2, al que corresponde: y = 6, y el punto de intersección: B(2,6)..
Luego, evaluamos las expresiones de la gráfica de la función y de la recta tangente en un valor intermedio (por ejemplo x = 0):
f(0) = 03 - 0 = 0,
y(0) = 2(0) + 2 = 2,
por lo que tenemos que las ordenadas de los puntos en la recta tangente son mayores que en la gráfica de la función.
Luego, pasamos al cálculo del área de la región limitada por la gráfica de la función y la recta tangente:
A = ∫ ( (2x + 2) - (x3 - x) )dx = ∫ (- x3 + 3x + 2)dx,
integras (indicamos con corchetes que debes evaluar con Regla de Barrow entre - 1 y 2) y queda
A = [ - x4/4 + 3x2/2 + 2x ] = (- 4 + 6 + 4) - (- 1/4 + 3/2 - 2) = 6 + 3/4 = 27/4.
Espero haberte ayudado.
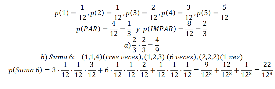
Este ejercicio salió en el examen de selectividad del año pasado en Donosti, alguien sabría explicarlo paso a paso? Os traduzco el enunciado.
En un bingo, en vez de usar un dado con forma de cubo, se utiliza un dado con forma de dodecaedro. En las 12 caras de este nuevo dado, se turnan los números 1,2,3,4 y 5. El numero "1" está en una cara, el "2" también en una cara, el "3" en dos caras, el "4" en tres caras y el "5" en cinco caras. Si el dado esta equilibrado y sabiendo que al tirarlo la probabilidad de que salgan todas las caras es la misma, calcula:
a) Si tiramos el dado dos veces, ¿cuál es la probabilidad de que salgan dos números impares?
b) Si tiramos el dado tres veces, ¿cuál es la probabilidad de que la suma de los números que salgan sea 6?
Faltan muchas variables, Guillem.
Con las matemáticas no puedes abarcar la Vida, ni muchísimo menos (por suerte), no es tan fácil.
Para saber más de intentos de explicación a la Vida te recomiendo que empieces a leer libros de filosofía, metafísica (si te interesa me dices de qué época te gustaría y te puedo recomendar alguno), pero te aviso...tienes que cambiar el chip y asumir que son temas que al contrario que las mates, cuanto más sabes...más dudas (Platón, como sabrás, decía que cuando le encontramos explicación a la Vida es cuando ya nos hemos muerto y vamos con el carro alado al Mundo de las Ideas jeje)
Y bueno...volviendo a tu integral definida, creo que la felicidad debería estar multiplicándose por el tiempo (o quizás no, hay mil maneras de vivir y de tomar la vida jeje): en concreto 7.000.000.000 o más ahora mismo (contando sólo a los humanos)
Como ves, el tema queda muy muy en pañales teniendo en cuenta sólo las integrales, queda casi de chiste...
Un saludo :)