Foro de preguntas y respuestas de Matemáticas

logo beUnicoos
Los foros de unicoos se han unificado en nuestra nueva plataforma beUnicoos. Para dejar nuevas preguntas deberás hacerlo allí, donde además podrás encontrar nuevas asignaturas y herramientas para ayudarte más con tus estudios.

  • icon

    Pablo Molina
    el 9/5/17

    Hoola,

    ¿Podrian ayudarme con esta gráfica?


    replythumb_up0 voto/sflag
    icon

    Antonio
    el 9/5/17


    thumb_up0 voto/sflag
  • icon

    Patri Lopez
    el 9/5/17

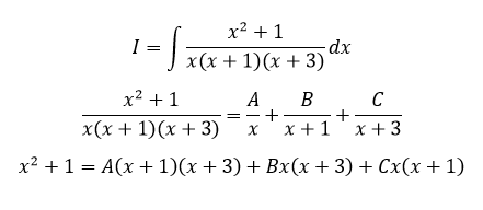
    esta integral como se haría? Esque  me he visto todos los  videos de integrales racionales y hay de grado 3 pero que el cuadrado  englobe a todo y este caso no se como se haría😅 un saludo y muchas gracias

    replythumb_up0 voto/sflag
    icon

    Axel Morales Piñón.
    el 9/5/17

    Por fracciones Parciales Patri.

    thumb_up1 voto/sflag
    icon

    Axel Morales Piñón.
    el 9/5/17


    thumb_up1 voto/sflag
  • icon

    belen
    el 8/5/17

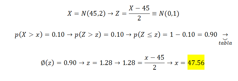
    Hola! Podéis ayudarme con este ejercicio? Mi solución no coincide con la del solucionario

    Las calificaciones, en puntos, de un examen siguen una distribución normal de media 45 y desviación típica 2. ¿Qué nota debe exigirse para que solo apruebe el 10% de los que se examinan?

    replythumb_up0 voto/sflag
    icon

    Antonius Benedictus
    el 8/5/17


    thumb_up1 voto/sflag
  • icon

    Valentina Villegas Picazo
    el 8/5/17

    Hola unicoos, estoy tratando de hacer este ejercicio pero no sé qué más hacer despues de Ahí. Solo lo plantee y calcule las distancias pero no se si esta bien relacionado eso que llame como "Z". 

    Como lo puedo resolver ? 

    replythumb_up0 voto/sflag
    icon

    Neofito 007
    el 9/5/17


    thumb_up0 voto/sflag
  • icon

    Ignacio Vergara
    el 8/5/17

    Geometría analítica, la ultima demostración que me falta 


    replythumb_up0 voto/sflag
    icon

    Antonius Benedictus
    el 8/5/17


    thumb_up0 voto/sflag
    icon

    Ignacio Vergara
    el 8/5/17

    por casualidad, no existe una demostración, como mas de tipo vectorial que por componentes? :o


    thumb_up0 voto/sflag
    icon

    Antonius Benedictus
    el 9/5/17

    Puedes ya desarrollarla tú:


    thumb_up1 voto/sflag
  • icon

    Ignacio Vergara
    el 8/5/17

    es de geometria analitica :c

    replythumb_up0 voto/sflag
    icon

    Neofito 007
    el 8/5/17

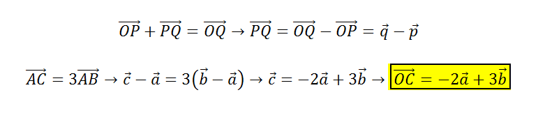
    El vector AB es

    AB = B - A = b - a

    AC = 3 AB

    AC = 3(b - a) = 3b - 3a

    C - a = 3b - 3a

    C = 3b - 2a


    Similar el otro


    thumb_up1 voto/sflag
    icon

    Antonius Benedictus
    el 8/5/17


    thumb_up1 voto/sflag
  • icon

    Tomas
    el 8/5/17

    Hola, estoy teniendo problemas con este ejercico, cuando lo resuelvo aplico la derivacion logaritmica, pero cuando comparo con el ejercicio resuelto veo que aplican el logaritmo solo a X^3x; la pregunta es, ¿se le puede aplicar solo a lo que me conviene o se lo tengo que aplicar a todo?


    replythumb_up0 voto/sflag
    icon

    Neofito 007
    el 8/5/17

    A lo que te  conviene, mira que si  lo haces  como allí muestras tomando logaritmo a todo no te facilita en nada los cálculos, al contrario es complicarse en vano. 


    La derivación logarítmica se aplica generalmente en funciones del tipo

    [ F(x)] ^[ G(x)] 




    thumb_up0 voto/sflag
    icon

    Tomas
    el 8/5/17

    osea podria verlo como y= F(x) + G(x), siendo F= X^3x y G=a^x  y ahi aplicarle ln solo a F(x)

    thumb_up0 voto/sflag
    icon

    Neofito 007
    el 8/5/17

    Sí , tal cual dices

    thumb_up0 voto/sflag
  • icon

    Guillem De La Calle Vicente
    el 8/5/17

    Disponemos de 210.000 € para invertir en bolsa. Los analistas recomiendan dos tipos de acciones. Las del tipo A, con un rendimiento del 10% y las del tipo B, con un rendimiento del 8%. Decidimos invertir un máximo de 130.000 € en las del tipo A y como mínimo 60.000 € en las del tipo B. Además queremos que la inversión en las del tipo A sea menor que el doble de la inversión en B. ¿Cuál será la distribución de la inversión para obtener el máximo interés anual?

    replythumb_up0 voto/sflag
    icon

    Antonius Benedictus
    el 8/5/17


    thumb_up0 voto/sflag
  • icon

    lbp_14
    el 8/5/17

    Conocen alguna página con ejercicios de dominios de funciones resueltos de 1Bach que no sea vitutor?

    Muchas gracias

    replythumb_up0 voto/sflag
  • icon

    Guillem De La Calle Vicente
    el 8/5/17

    Una refinería de petróleo produce gasolina y gasóleo. En el proceso de refinación que se lleva a cabo se obtiene igual o más gasolina que gasoil. Además, para cubrir la demanda hay que producir al menos 3 millones de litros de gasóleo al día, mientras que la demanda de gasolina es de 6,4 millones de litros al día, como máximo.
    La gasolina tiene un precio de 1,9 € / L, y el gasóleo vale 1,5 € / L. Teniendo en cuenta que se vende la totalidad de la producción, determine cuántos litros de gasolina y de gasóleo hay que producir al dia para obtener el máximo de ingresos.


    replythumb_up0 voto/sflag
    icon

    Antonius Benedictus
    el 8/5/17



    thumb_up0 voto/sflag