Hola. ¿Pueden ayudarme con este problema de integración?
Cuando dice: Si al principio el árbol tiene un metro de alto.
¿quiere decir que t=0 ------H(t)=1?
Cuando dice: ¿Cuánto medirá 1 año después?
entonces t=1?

Exacto mi estimado, este es un problema de la pinta de ecuaciones diferenciales.
Cuando pasas el dt al otro lado tienes
dH = dt.(t)
Llamo t a toda la función radical y demás etc para no escribir todo
Vas a integrar a ambos lados y vas a obtener
H + C1 = T + C2
Donde T es la función que resulta de integrar dt.(t)
Luego pasas C1 al otro lado
H = T + C2 - C1
Restas las constantes
C = C2 - C1
Entonces:
H(t) = T - C
Repito: T sería la función que resulta de la integral que resuelvas
Para t=0 sabes que el árbol tiene 1 metro entonces reemplazas0 en t y en h pon 1, así ves que C = 1
Para t = 1 reemplazas 1 en t y como ya tienes el valor de C, solo lo reemplazas también y ya tienes el resultado que te piden
Completa la secuencia:
-3, -14/5, -13/5, -12/5, ___, -2
a) -11/5 b) -10/5 c) -9/5 d) -8/5
Demasiado obvio que no es la a, ayuda.
hallar el volumen de un solido que tiene una base en forma de elipse con eje mayor 10 y eje menor 8, si toda seccion perpendicular al ejer mayor es un triangulo rectangulo isosceles con un cateto en el plano de la base
me ayudan? es que un poco abstracta la parte de solidos

Me encantaría ayudarte, pero no respondo dudas universitarias que no tengan que ver específicamente con los videos que ya he grabado como excepcion. O de otras asignaturas que no sean matemáticas, física y química. Lo siento de corazón… Espero lo entiendas
Ojalá algun unicoo universitario se anime a ayudarte (de hecho lo ideal es que todos los universitarios intentarais ayudaros los unos a los otros)
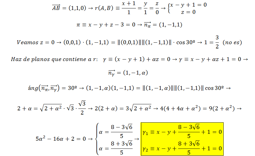
Hola, necesito representar la ) HIPÉRBOLA CON CENTRO (10,20) Y FOCO (11,18). gracias!!

Ecuacion reducida HIPERBOLA
HIPERBOLA no centrada en el origen
A partir de ahí, se trata de que DESPUES DE IR A CLASE (ver los vídeos
relacionados con vuestras dudas) enviéis dudas concretas, muy concretas. Y que
nos enviéis también todo aquello que hayais conseguido hacer por vosotros
mismos. Paso a paso, esté bien o mal. No solo el enunciado. De esa manera
podremos saber vuestro nivel, en que podemos ayudaros, cuales son vuestros
fallos.... Y el trabajo duro será el vuestro. Nos cuentas ¿ok? #nosvemosenclase
;-)
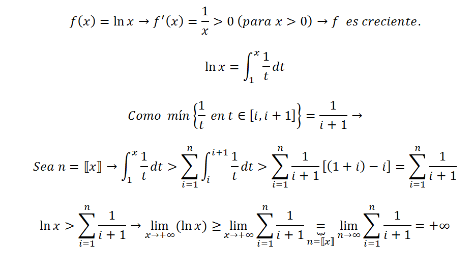
Serie armónica y monotonicidad de ln x
Probar que ln x es estrictamente monótono creciente y que lnx → ∞ como x → ∞ usando la propiedad de que la serie armónica diverge.
No entiendo cómo la serie armónica es relevante aquí. Sé que la derivada de ln x es 1 / x, pero no sé cómo obtener una suma para usar la serie armónica ...