esto es mera curiosidad:
si el radio de una circunferencia con un punto común con una tangente, tiene de radio infinito, cómo sería la figura? una recta?
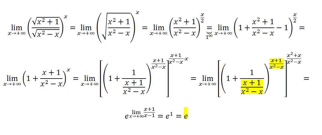
¿Me podrían ayudar con este ejercicio? Gracias de antemano...
Dentro de un barrio se identifican 12 puntos estratégicos que las autoridades han decidido vigilar, para lo cual se colocan cámas de seguridad. Si se considera que no se instalan más de 2 cámaras en una misma línea de observación, ¿cuántas líneas de observación pueden ser trazadas?
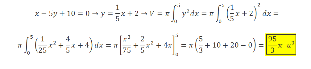
Buenas, necesito ayuda con un problema de calculo de volumen. El enunciado es: Halla el volumen generado por un trapecio limitado por las rectas x=0, x=5 , y=0 , x-5y+10=0. Se que seria π·∫ de 0 hasta 5 pero tengo dudas de como sacar la función a integrar. Gracias de antemano
buen día, quisiera que me ayuden con esta ecuación diferencial. (tanx-seny+3)sec²xdx+(3tanx+seny+1)cosydy=0. Por favor!!!

Me encantaría ayudarte, pero no respondo dudas universitarias que no tengan que ver específicamente con los videos que ya he grabado como excepcion. O de otras asignaturas que no sean matemáticas, física y química. Lo siento de corazón… Espero lo entiendas
Ojalá algun unicoo universitario se anime a ayudarte (de hecho lo ideal es que todos los universitarios intentarais ayudaros los unos a los otros)
¿La sucesión an =(-1)nn es decreciente y no está acotada superiormente?