Foro de preguntas y respuestas de Matemáticas

logo beUnicoos
Los foros de unicoos se han unificado en nuestra nueva plataforma beUnicoos. Para dejar nuevas preguntas deberás hacerlo allí, donde además podrás encontrar nuevas asignaturas y herramientas para ayudarte más con tus estudios.

  • icon

    carlos
    el 4/5/17

  • icon

    penelope
    el 4/5/17

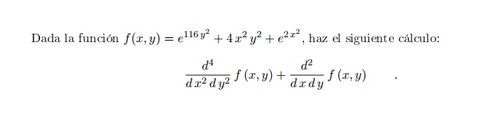
    alguien que me pueda explicar este ejercicio??????? no entiendo bien lo de las letra d 

    replythumb_up0 voto/sflag
    icon

    Antonius Benedictus
    el 4/5/17


    thumb_up1 voto/sflag
    icon

    penelope
    el 5/5/17

    hola me podrias explicar los pasos que has hecho? se que has derivado pero no se  cuando has derivado con respecto a x y con respecto a y. muchas gracias por la ayuda :)


    thumb_up0 voto/sflag
  • icon

    Rocio
    el 4/5/17

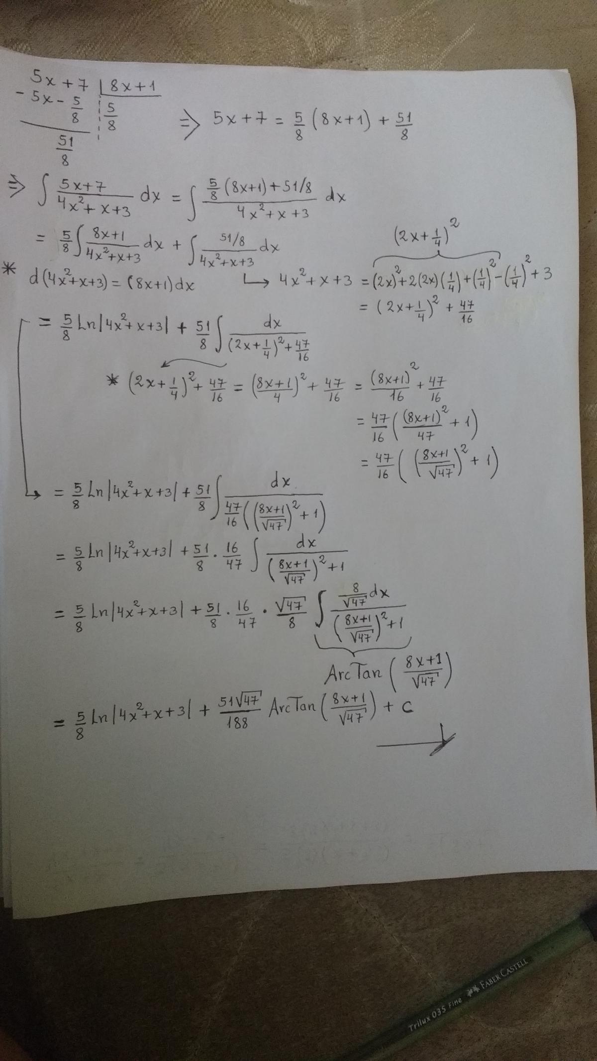
    Hola, una duda sobre integrales racionales. Tengo un ejercicio que no sé por qué 5x+7 se convierte en 8x+1. Es por esto que a partir de ahí no entiendo nada del ejercicio. Probablemente se trate de algún despiste, pero no consigo caer. Sería de gran ayuda si me lo explicaseis. Muchas gracias.

    replythumb_up0 voto/sflag
    icon

    Antonius Benedictus
    el 4/5/17

    icon

    Neofito 007
    el 4/5/17

    He tratado de hacerlo de la misma forma como muestras en tu solución y explicando tu duda principal (eso lo pongo primero). 

    Aunque el trabajo se puede simplificar si se usa un cambio de variable para aquella integral donde se completa cuadrados. 

    thumb_up1 voto/sflag
  • icon

    carlos
    el 4/5/17



        Hola buenas tardes, necesito que me ayudeis con estos problemas, se que son muchos pero tengo varios exámenes y no me da tiempo. Gracias




    hola

    replythumb_up0 voto/sflag
    icon

    Antonius Benedictus
    el 4/5/17

    Se te ha ido la mano, Carlos. Sube uno, el que más te fastidie. Y luego otro...

    thumb_up0 voto/sflag
  • Usuario eliminado
    el 4/5/17

    Buenas, 

    Ayuda! Tengo mañana un examen y no entiendo como llegar a la respuesta para la parte b) de el ejercicio 2.  De donde salen los valores 60.15 y 60.25?

    Gracias !! 




    replythumb_up0 voto/sflag
    icon

    Antonius Benedictus
    el 4/5/17

    Un intervalo de 0.1 cm alrededor de la media, que es 60.2 cm, es el intervalo (60.2-0.05, 60.2+0.05)

    thumb_up1 voto/sflag
    icon

    Antonius Benedictus
    el 4/5/17

    Si traduces los ejercicios, lo agradecemos.

    thumb_up1 voto/sflag
  • icon

    anaespo
    el 4/5/17

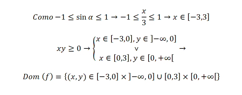
    ¿para conseguir el recorrido de una función siempre es necesario averiguar el dominio de la inversa?

    replythumb_up0 voto/sflag
    icon

    Antonius Benedictus
    el 4/5/17

    No necesariamente, Ana. por ejemplo, obteniendo sus máximos y mínimos y cómo se comporta en infinito, se puede ver el recorrido.

    thumb_up0 voto/sflag
    icon

    Guillem De La Calle Vicente
    el 4/5/17

    No siempre. De hecho casi siempre se trata de un problema de optimización para las diferentes componentes conexas del dominio.

    thumb_up0 voto/sflag
  • icon

    Guillem De La Calle Vicente
    el 4/5/17

    Me encontré con este cómic, y es oro. Se publica orginialmente aquí (https://xkcd.com/688/)


    Si estoy en lo cierto, el primer panel solo define un bucle auto-referencial si no es una ecuación diferencial:

    X: cantidad de negro para rellenar el texto

    Y: Cantidad de tinta para llenar el límite

    Z: Cantidad de tinta negra en el gráfico

    La cantidad de la imagen que sería negra al principio parece ser entonces X + Y + Z, pero Z también parece algo como si estuviera limitada por Z = X + Y + C + (algo)Z, donde A + B es esa cantidad de la tinta negra que se encuentra convenientemente fuera del gráfico, C es una cantidad arbitraria de tinta negra añadida a la parte sombreada del gráfico y Z es, por supuesto, la cantidad de negro requerida para dibujar esto.

    Vea, cuando está sombreando la cantidad de tinta negra en el gráfico en el primer panel: puede agregar tanto como desee, pero debe estar relacionado con cuánto está en el cómic todo junto!

    Aunque hay una cantidad infinita de maneras en que la gráfica puede ser sombreada correctamente, hay una cantidad infinita de maneras en que la gráfica podría ser sombreada incorrectamente (aquí vienen los números irracionales). Me gustaría probar esto.

    La única manera de resolver esto es explicar cómo Z varía consigo mismo.

    Esto crea un bucle auto-referencial. Por lo tanto huele como una ecuación diferencial, pero no puedo encontrarlo! ¿Cómo resolvemos esto? (¿Es lo mismo que la ecuación poblacional:


    donde P (la variable dependiente) es la cantidad de tinta en el panel y t, la variable dependiente, es la cantidad de tinta en el gráfico? (Sí, descarrije sin vergüenza la ecuación de población de mi libro de texto y traté de aplicarla aquí.) Es verdad, entonces, que la cantidad de tinta negra en el gráfico y / o el panel en general está limitada Por esta ecuación: A + B + C + P(t)?

    Además, si se permite que X, Y y C varíen, ¿esto no genera un grafo de 4 dimensiones?

    (Te dije que este cómic es oro.)

    ¡Ése es solamente el primer panel tomado solamente! Ahora tomemos el TERCER panel en consideración!

    Este panel se parece a la paradoja de Zenón (https://es.wikipedia.org/wiki/Paradojas_de_Zen%C3%B3n) en 2d, o un patrón similar al cuerno de Gabriel!

    Como una tangente, describamos la paradoja de Zenón como tal (en una dimensión): una flecha se dispara, una vez que alcanza el punto medio tiene a mitad de camino. Una vez que alcanza la mitad de esa mitad es tiene a medio camino para ir de nuevo. Por lo tanto, hay un número infinito de medio camino! Sólo para ser conciso, permítanme expresar mi opinión de algo que por lo menos un poco sorta alcanza para su resolución:


    (Obsérvese que esto también podría ser discutido en términos de una solución en serie similar, como Σni=1 = 1/(2n )= π²/6, pero en realidad tratar y resolver la paradoja de Zenón va mucho más allá del alcance de esta pregunta).

    Pero, el punto de esto es que un patrón infinito puede conducir a un resultado finito (como el área bajo la curva 1/X²). Ahora, mira el panel más a la izquierda de cerca:

    Si el tercer panel traza la ubicación de la tinta negra en la imagen, como se dice, debe representarse en miniatura. Esta miniatura, a su vez, debe incluir una trama del cómic; En esta trama EXTRA-miniatura, también debe haber una trama del cómic, un número infinito de veces.
    En otras palabras, el tercer panel debe trazar un número infinito de veces.

    ¿Se puede demostrar que, al igual que la cantidad de tinta necesaria para estas parcelas, será tan rápida que una cantidad finita de tinta sea necesaria para dibujar un número infinito de estos terceros "reflejados"?

    Vamos a tratar de calcular la cantidad de tinta necesaria para dibujar este número infinito de auto-espejos.

    Cantidad de tinta α Superficie del cuadrado

    Podemos suponer esto porque el área cubierta por la tinta será una proporción fija del área de los cuadrados si el grosor de la tinta varía con el tamaño del cuadrado, que obviamente debe o la imagen no puede ser dibujada!

    Digamos que los lados del cuadrado pequeño son proporcionales (deben ser si el gráfico es preciso) y que son 1/5 del tamaño del primer cuadrado. Por tanto tanto el área superficial como la cantidad de tinta utilizada serán 1/[(5n)²] incluyendo el primer cuadrado si n = 0. Ahora, sea A el área del primer cuadrado. Ya sabemos eso


    por lo tanto


    debe ser un número finito. Así, un número infinito de paneles se pueden dibujar matemáticamente con una cantidad finita de tinta.

    En otras palabras, las áreas de superficie añadidas de un cuadrado, dentro de un cuadrado, dentro de un cuadrado, así que al infinito, es un área combinada finita (recuerde la demostración de que la serie infinita 1/(np) converge si p> 1 - pero voy a dejar eso al lector.)

    ¿Se aplica esta primera ecuación diferencial? ¿Cómo uniríamos estas ecuaciones?

    No voy a comentar en el segundo panel, pero creo que puede ser similar a la primera .....

    ¡Gracias por leer todo esto!

    replythumb_up0 voto/sflag
    icon

    Antonius Benedictus
    el 4/5/17

    Guillem, eres la caña....

    thumb_up0 voto/sflag
  • icon

    faustinoraul8 Mpeso Pinto
    el 4/5/17
    flagflagflag

    Hola buenas me gustaría que hicieses un vídeo explicando cómo se hacen las nóminas como se calcula, la asignatura es de Fol.

    Gracias, un saludo.

    replythumb_up0 voto/sflag
    icon

    Antonius Benedictus
    el 4/5/17

    Lo sentimos, Faustino. Está fuera del ámbito de esta página.

    thumb_up0 voto/sflag
  • icon

    Martina Rojas
    el 4/5/17

    Hola únicoos necesito ayuda con estos problemas, no me acuerdo muy bien de esto, y por favor que sea pasito a pasito. Gracias de antemano

    replythumb_up0 voto/sflag
    icon

    Ángel
    el 4/5/17

    Tienes que dejarlas de la forma:

    y=mx+n


    1) ya está hecha. m=-5, n= 2/3

    2)2y=3x-7-------->  y= 3/2x - (7/2)    m=3/2      n= -7/2

    thumb_up0 voto/sflag
  • icon

    Jordi Ramos
    el 4/5/17

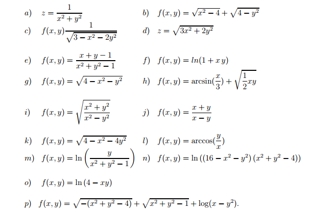
    Hola amigos me ayuda a calcular estos dominio, no se como calcular el apartado h) es el unico que me da problemas les agradecería una ayuda para resolverlo 

    replythumb_up0 voto/sflag
    icon

    César
    el 4/5/17

    error es -3  a 3 sorry

    thumb_up0 voto/sflag
    icon

    Antonius Benedictus
    el 4/5/17


    thumb_up0 voto/sflag