Foro de preguntas y respuestas de Matemáticas

logo beUnicoos
Los foros de unicoos se han unificado en nuestra nueva plataforma beUnicoos. Para dejar nuevas preguntas deberás hacerlo allí, donde además podrás encontrar nuevas asignaturas y herramientas para ayudarte más con tus estudios.

  • icon

    Javier Marquez
    el 5/5/17
    flag

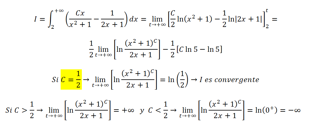
    Hola, cmo puedo hacer la segunda parte de este problema?

    replythumb_up0 voto/sflag
    icon

    Antonius Benedictus
    el 5/5/17


    thumb_up1 voto/sflag
  • icon

    Mariam
    el 5/5/17
    flag

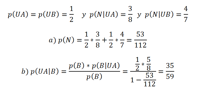
    Hola! Me ayudan con este ejercicio? Gracias!


    replythumb_up0 voto/sflag
    icon

    Antonius Benedictus
    el 5/5/17


    thumb_up0 voto/sflag
  • icon

    tomas moya
    el 5/5/17

    Me ayudan en este ejercicio por favor: Lim x tiende a 0 = 2*cos(x-2)/cos(x-1)

    replythumb_up0 voto/sflag
    icon

    Antonio
    el 5/5/17

    sube foto del original

    thumb_up1 voto/sflag
    icon

    Ángel
    el 5/5/17

    ¿   lim(x->0) [2*cos(x-2)]/[cos(x-1)]   ?

    thumb_up1 voto/sflag
    icon

    tomas moya
    el 5/5/17

    sii es ese

    thumb_up0 voto/sflag
    icon

    Ángel
    el 5/5/17

     lim(x->0) [2*cos(x-2)]/[cos(x-1)] =    [2*cos(0-2)]/[cos(0-1)]  =   [2*cos(-2)]/[cos(-1)]=   [2*(-0.416)]/0.54]=    -0.8323/0.54=  -1.54

    thumb_up1 voto/sflag
  • icon

    Adrián
    el 5/5/17

    Esta bien? Muchas gracias

    replythumb_up0 voto/sflag
    icon

    Antonius Benedictus
    el 5/5/17


    thumb_up0 voto/sflag
  • icon

    FABI VASQUEZ
    el 4/5/17

    Nesecito resolver urgente estos ejercicios, yo los intente hacer pero quiero estar segura si me pueden ayudar con los puedan.LO AGRADECERIA MUCHO

    calcular el determinante de una matriz

    1) X  5                                 2) 5  6                           3) X  2   5                     4) B10   B-11                     5)  SEN60  COS30

         3  X = 2X +5                      2  X  = X+ 7                -1  X   3                          BX     B 5     = 0                     TG30     TG45   = X
                                                                                               7  -3  5 = 10


    replythumb_up0 voto/sflag
    icon

    Ángel
    el 4/5/17

    Manda el enunciado original.

    thumb_up0 voto/sflag
    icon

    Antonio
    el 5/5/17

    Calculas el determinante de la matriz

    igualas el resultado a lo que te dan

    resuelve la ecuación

    thumb_up0 voto/sflag
    icon

    FABI VASQUEZ
    el 5/5/17

    No tengo el anunciado... Pero decia solo eso calcular el determinante de una matriz y esos 5 ejercicios. la unica diferencia es que antes del signo igual, esos numeros estan encerradis en un cuadrado o con rayas a los lados...

    thumb_up0 voto/sflag
    icon

    Ángel
    el 5/5/17

    1) x2-15=2x+5    -------------->     x2-2x-20=0  ----------->  x1=1+√21    ,    x2=1-√21

    2) 5x-12=x+7 -------------->   4x=19 -------------->   x=19/4

    3) Utiliza Sarrus

    4) No se entiende 

    5) Se hace igual que el 1) y el 2) :   (sen60*tg45) - (tg30*cos30) = x          Deberías saberlas de memoria, pero si no, consulta en cualquier tabla o incluso la calculadora

    thumb_up0 voto/sflag
  • icon

    Adrián
    el 4/5/17

    Esta bien? muchas gracias

    replythumb_up0 voto/sflag
    icon

    Ángel
    el 4/5/17

    Está casi bien, para evitar los despistes haz una tabla de contingencia en este tipo de ejercicios.

    thumb_up0 voto/sflag
    icon

    Ángel
    el 4/5/17

    Justo al final, cuando divides entre 0.47 deberías dividir entre 0.53 y obtener de resultado 0.245


    thumb_up0 voto/sflag
  • icon

    Luis Campos
    el 4/5/17
    flag

    Hola disculpen alguien me podría ayudar con esta derivada implícita !por favor!

    √x-y=xy




    replythumb_up0 voto/sflag
    icon

    Antonius Benedictus
    el 4/5/17

    Pon foto original, Luis. ¿Hasta donde cubre la raíz?

    thumb_up0 voto/sflag
  • icon

    Dino Bianchi
    el 4/5/17

    Hola, como calculo este limite 0/0


                          (cos∧2 x + 2 cos x - 3) ÷ (6 cos x -6)

    cuando x tiende a 2π

    Desde ya muchas gracias



    replythumb_up0 voto/sflag
    icon

    Antonius Benedictus
    el 4/5/17


    thumb_up0 voto/sflag
    icon

    Dino Bianchi
    el 4/5/17

    muchas gracias

    thumb_up0 voto/sflag
  • icon

    Fabian Toloza
    el 4/5/17

    Hola amigos, tengo un duda respecto a un ejercicio de planteamiento de ecuaciones, me dieron este ejercicio, y de acuerdo a mis cálculos da 42. Según yo, marcos tendría 28 programas y Julio: 14, no estoy seguro, gracias por su ayuda

    El ejercicio es:

    1.       Marco tiene el doble de programas que tiene Julio. Si Marco le regala 5 programas a Julio, este último tendrá 4 programas menos de los que tiene Marco. ¿Cuántos programas tienen entre los dos?

    replythumb_up1 voto/sflag
    icon

    Antonius Benedictus
    el 4/5/17

    Julio: x,   Marco: 2x

    Marco:  2x-5, Julio:  x+5

    Ecuación:

    x+5=(2x-5)-4

    x+5=2x-9

    x=14,

    14 y 28.

    Entre los dos, 42.

    thumb_up1 voto/sflag
    icon

    Fabian Toloza
    el 5/5/17

    Gracias, me confundía el valor 4, es decir sumo y resto el valor 5 en ambas ecuaciones y luego resto el 4

    thumb_up0 voto/sflag
  • icon

    Paula
    el 4/5/17

    Sería correcto¿


    replythumb_up1 voto/sflag
    icon

    Antonio
    el 4/5/17

    (100-x)2≠10000-x2

    tan 30º√3


    thumb_up0 voto/sflag
    icon

    Antonio
    el 4/5/17

    (100-x)2=10000-200x+x2

    tan 30º=√3/3



    thumb_up0 voto/sflag