Foro de preguntas y respuestas de Matemáticas

logo beUnicoos
Los foros de unicoos se han unificado en nuestra nueva plataforma beUnicoos. Para dejar nuevas preguntas deberás hacerlo allí, donde además podrás encontrar nuevas asignaturas y herramientas para ayudarte más con tus estudios.

  • icon

    Elena Arnaiz
    el 4/5/17

    ¿Hay algún apartado dónde expliquen la estadística de 2ºBach?

    replythumb_up0 voto/sflag
    icon

    Estudiante 101
    el 4/5/17

    Estos son los únicos videos que hay --> https://www.youtube.com/results?search_query=unicoos+estadistica

    thumb_up1 voto/sflag
  • icon

    Estudiante 101
    el 4/5/17

    Hola me podrian ayudar con el apartaDo a de este ejercicio, es el unico que no me sale ;(



    replythumb_up0 voto/sflag
    icon

    Antonius Benedictus
    el 4/5/17

    icon

    Antonius Benedictus
    el 4/5/17


    thumb_up0 voto/sflag
  • icon

    Guillem De La Calle Vicente
    el 4/5/17

    Límite del sin(πn) cuando n tiende al infinito

    Estoy en el cálculo 2 donde estoy aprendiendo didácticamente acerca de secuencias, series y sumas infinitas y estoy mirando las anotaciones de un libro y el autor escribió:


    ¿Alguien puede explicar por qué esto es? No estoy seguro si esto tiene sentido, puede haber necesitado el contexto del libro pero no recuerdo qué libro era.

    replythumb_up0 voto/sflag
    icon

    Antonius Benedictus
    el 4/5/17

    Se trata de un ejemplo de existencia de límite de una sucesión, pero que no existe cuando lo convertimos en función, pues:


    thumb_up0 voto/sflag
  • icon

    Julio
    el 4/5/17

    Me podrían ayudar con este ejercicio 

    replythumb_up0 voto/sflag
    icon

    Antonius Benedictus
    el 4/5/17

    Aquí tienes otros similares:

    http://www.blogupiicsa.com/2010/12/distribucion-de-poisson_04.html

    thumb_up0 voto/sflag
  • icon

    Roberto Villon
    el 4/5/17

    Hola me podrian ayudar con unos ejercicios porfavor :) Muchas gracias 

    replythumb_up0 voto/sflag
    icon

    César
    el 4/5/17


    thumb_up1 voto/sflag
  • icon

    Veronica Palacin Canturiense
    el 4/5/17

    Ayuda con este problema 

    Una caja contiene 10 bolas, 7 rojas y 3 negras. Si se sacan 2 bolas al azar, escribe el espacio muestral y calcula la probabilidad de:

    - Los dos sean del mismo color, con reemplazamiento ( se devuelve a la caja la bola que hemos sacado)

    - Las dos sean del mismo color , sin reemplazamiento ( no devolvemos a la caja la que hemos sacado)

    replythumb_up1 voto/sflag
    icon

    Antonius Benedictus
    el 4/5/17


    thumb_up1 voto/sflag
    icon

    Veronica Palacin Canturiense
    el 7/5/17

    Muchísimas gracias , me ha ayudado un montón!

    thumb_up0 voto/sflag
  • icon

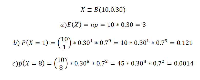
    Javier Muñoz Rodríguez
    el 4/5/17

    ayuda con este problema

    de cada 10 veces que una persona encuentra un semaforo, resulta que 7 esta verde. repetimos el experimento 6 veces.

    a, calcula la proabilidad de que este exactamente 4 veces en verde

    B, proabilidad de que este al menos 4 veces en verde

    c, y de que este como maximo 5 veces en rojo


    gracias

    replythumb_up0 voto/sflag
    icon

    Antonius Benedictus
    el 4/5/17

    icon

    Antonius Benedictus
    el 4/5/17


    thumb_up0 voto/sflag
  • icon

    andres
    el 4/5/17

    Hola, me ayudarían con este ejercicio, gracias

    replythumb_up0 voto/sflag
    icon

    Antonius Benedictus
    el 4/5/17

    icon

    Antonius Benedictus
    el 4/5/17


    thumb_up0 voto/sflag
  • icon

    Daniel Pineda
    el 4/5/17

    . Sea V un K-espacio vectorial y v,w ∈ V . Sea S un subconjunto de V tal que v ∈ ⟨S ∪ {w}⟩ − ⟨S⟩. Pruebe que w ∈ ⟨S ∪{v}⟩.

    replythumb_up0 voto/sflag
    icon

    Antonius Benedictus
    el 4/5/17

    Pon foto del enunciado original, por favor.

    thumb_up0 voto/sflag
  • icon

    Ana Belén Jaurrieta Ibáñez
    el 4/5/17
    flag

    Buenos días, necesito ayuda para resolver el área y perímetro de esta figura. Gracias por su ayuda.


    replythumb_up0 voto/sflag
    icon

    César
    el 4/5/17

    La verdad es que la figura no queda nada clara Ana

    thumb_up0 voto/sflag
    icon

    Antonio
    el 4/5/17

    El árbol tiene 4 tramos que son iguales

    calculamos uno y lo multiplicamos por 4

    como bien se dice en la figura es un arco de de 1/6 de circunferencia

    la circunferencia tiene radio 2 cm

    la longitud de la misma es 2πr=2π2=4π

    por lo tanto el arco será 4π/6

    y como ya hemos dicho lo multiplicamos por 4

    4π/6 · 4 = 16π/6 = 8π/3 cm

    thumb_up0 voto/sflag