hola podeis ayudarme a desarrolar problemas con ecuaciones ? tengo un par de problemas k no se como desarrolarlos para poder hacer las ecuaciones ,no se a k tengo k llamrle "x"
Cuando nacio said,su madre tenia 32 años.¿cuantos años tiene ahora si entre los dos suman 64 años?
Hola, una pequeña duda con este ejercicio...
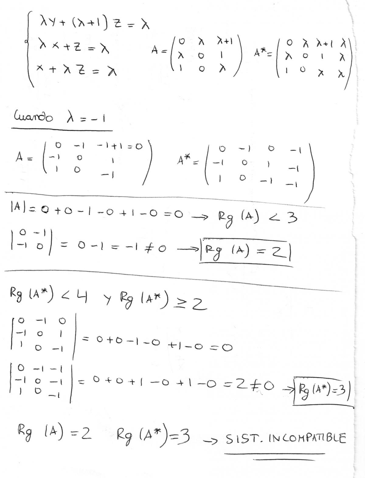
Cuando λ=-1, no consigo que el rango de la matriz ampliada me de 3, aclaro que yo calculo el rango siempre por determinantes, y todos los menores de orden 3 me dan 0... si podéis ayudarme... gracias!!!!!!!!

Tienes razón.
Si λ = - 1, los elementos del determinante quedan:
0 -1 0
-1 0 1
1 0 -1
Observa que la tercera fila es la opuesta de la segunda fila, por lo que tienes que el determinante de orden tres es igual a cero y, por lo tanto, el rango de la matriz no puede ser tres.
Luego, si consideras los elementos que hemos remarcado, verás que el subdeterminante de orden dos correspondiente es igual a - 1, que es distinto de cero, por lo que tienes que el rango de la matriz es 2.
Consulta con tus docentes por las dudas estés ante un error en el enunciado, o en las opciones de respuesta.
Espero haberte ayudado.
¡Hola Lili!
Te adjunto el ejercicio resuelto cuando λ=-1. A mí el rango de la matriz de coeficientes me da 2 y el de la matriz ampliada 3. Por lo que estaríamos ante un sistema incompatible para este caso particular. Hay uno de los menores que es diferente a '0'.
Te adjunto el ejercicio resuelto, por si te sirve de ayuda.
Saludos,
Jon
"Nacho tiene un listón de madera de 4 metros y quiere hacer un marco para poner la foto de la profe de matemáticas en su cuarto. Para ello, Jesús le ayuda y le proporciona la expresión algebraica de la función que relaciona la superficie de la foto con la base del marco. ¿Cómo lo hizo Jesús? ¿Cuál sería el dominio y el recorrido de dicha función?"
Es un problema que nos han planteado y si podéis ayudarme os lo agradecería de todo corazón
Como solucionar este sistema de ecuaciones exponenciales?
Gracias de antemano y agradeceria que no me lo hicieseis simplemente que me guieis!!!!!!
Aqui os dejo el sistema:
1ra ecuación sistema: 2^x+1 - 5*3^y+3=-11
2na ecuación sistema: 4^x-1 + 2*3^y+2=3
Tengo una duda sobre funciones.
¿Alguien sabe decirme en este ejercicio cuales son funciones y por qué ?
Estoy un poco perdida, gracias de antemano.![]()
Una función es una relación entre un conjunto dado X y otro conjunto de elementos Y de forma que a cada elemento x le corresponde un único elemento y=f(x), por lo tanto, debes desechar aquellas relaciones en las que a un elemento x le corresponde más de un elemento y.
Pista: hay 7 que son funciones y 5 que no lo son.

Me encantaría ayudarte, pero no respondo dudas universitarias que no tengan que ver específicamente con los videos que ya he grabado como excepcion. O de otras asignaturas que no sean matemáticas, física y química. Lo siento de corazón… Espero lo entiendas
Ojalá algun unicoo universitario se anime a ayudarte (de hecho lo ideal es que todos los universitarios intentarais ayudaros los unos a los otros)