Ayuda con tratamiento de erros de estos datos porfavor (erro relativo, error absoluto, desviación media)
Hola, necesito ayuda con esta actividad...
En el apartado a, me da que los valores de t son 1 y 4. Para t=1 el rango vale 2, para t=4 el rango vale dos y para t≠1≠4 vale 3
El que no entiendo es el apartado b, en la solución dice que el sistema tendrá más de una solución cuando el rango vale 2, es decir, para t=1 y t=4, pero no entiendo por qué, no hacen ningún procedimiento, ponen eso directamente... gracias

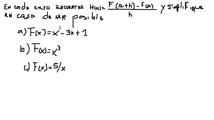
Revisa estos videos... Derivada utilizando la definicion 01
A partir de ahí, se trata de que DESPUES DE IR A CLASE (ver los vídeos
relacionados con vuestras dudas) enviéis dudas concretas, muy concretas. Y que
nos enviéis también todo aquello que hayais conseguido hacer por vosotros
mismos. Paso a paso, esté bien o mal. No solo el enunciado. De esa manera
podremos saber vuestro nivel, en que podemos ayudaros, cuales son vuestros
fallos.... Y el trabajo duro será el vuestro. Nos cuentas ¿ok? #nosvemosenclase
;-)