Foro de preguntas y respuestas de Matemáticas

logo beUnicoos
Los foros de unicoos se han unificado en nuestra nueva plataforma beUnicoos. Para dejar nuevas preguntas deberás hacerlo allí, donde además podrás encontrar nuevas asignaturas y herramientas para ayudarte más con tus estudios.

  • icon

    Francisco Bk Gtz
    el 1/5/17

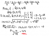
    ¿Es correcta la sig. derivada?


    replythumb_up0 voto/sflag
    icon

    Antonius Benedictus
    el 1/5/17


    thumb_up0 voto/sflag
  • icon

    Majo Artur ????
    el 1/5/17

    Hola unicoos por favor me pueden ayudar con este ejercicio?

    como lo puedo resolver es que no le entiendo :( 

    mil gracias 

    replythumb_up0 voto/sflag
  • icon

    BEÑAT DE LA GRANJA
    el 1/5/17

    necesito ayuda con el recorrido de la función f(x)=ex  (x-2)






    (




    replythumb_up0 voto/sflag
    icon

    Antonius Benedictus
    el 1/5/17


    thumb_up1 voto/sflag
  • icon

    Ale Soriano
    el 1/5/17


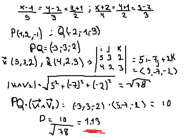
    Hola necesito comproabar si tengo correcto este ejericicio

    el enunciado dice: calcule la distancia perpendicular entre el par de rectas oblicuas x-1/5=y-2/3=z+1/2 y  x+2/4=y+1/2=3-z/3



    replythumb_up0 voto/sflag
    icon

    Antonius Benedictus
    el 1/5/17

  • icon

    patricia
    el 1/5/17

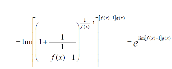
    Como se hacen las indeterminaciones de 1^a infinito??

    replythumb_up0 voto/sflag

    Usuario eliminado
    el 1/5/17

    Por límites notables, seguro tu profesor te lo dará, por ejemplo lim de x cuando tiende a cero de (1+x) elevado a la 1/x es igual a e, y otros más !

    thumb_up0 voto/sflag
    icon

    Antonius Benedictus
    el 1/5/17


    thumb_up0 voto/sflag
  • Usuario eliminado
    el 1/5/17
    flagflag

    Encontrar la ecuación de la elipse tal que el punto A (-3, -5) está sobre la elipse, uno de sus focos es el punto F (-1, -4) y la directriz correspondiente se da mediante la ecuación x+y-1=0

    replythumb_up0 voto/sflag
    icon

    David
    el 12/5/17

    Tu elipse no es vertical (direztriz perpendicular a alguno de los ejes coordenados) y forma parte de contenidos universitarios... Siento no poder ayudarte.

    thumb_up0 voto/sflag
  • icon

    Alicia Díaz
    el 1/5/17

    Yo tengo una duda, en trigonometría, para averiguar el seno, el coseno y eso, en un triangulo rectángulo que lado es A, cual es B y cual es C?


    replythumb_up0 voto/sflag
    icon

    Antonius Benedictus
    el 1/5/17

    La nomenclatura es convencional.

    A es el vértice del ángulo recto y "a" es la hipotenusa.

    thumb_up0 voto/sflag
  • icon

    BEÑAT DE LA GRANJA
    el 1/5/17

    necesito ayuda con la inversa de f(x= ex(x-2)

    replythumb_up0 voto/sflag
    icon

    Antonius Benedictus
    el 1/5/17

    Pon foto del enunciado original. Lo que has puesto no es de Secundaria ni Bachiller.

    thumb_up1 voto/sflag
  • icon

    Javier Martínez
    el 1/5/17

    Solución a esta ecuación?

    (x-2)²+(x+1)(x-1)=3

    replythumb_up0 voto/sflag
    icon

    Antonius Benedictus
    el 1/5/17

    x^2-4x+4+x^2-1=3

    2x^2-4x=0

    2x(x-2)=0

    Dos soluciones:

    x=0, x=2.

    thumb_up0 voto/sflag
  • icon

    Ivanconstan
    el 1/5/17

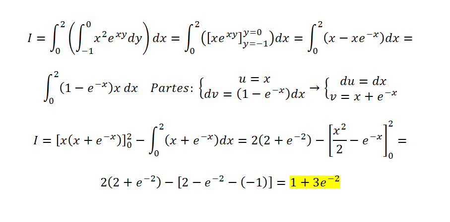
    Alguien me puede decir si realemte este ejercicio  da 2e^-2 ???

    La verdad que dudo mucho que de eso, si es así, alguien me podria echar una mano?



    replythumb_up0 voto/sflag
    icon

    Antonius Benedictus
    el 1/5/17


    thumb_up1 voto/sflag
    icon

    Ivanconstan
    el 1/5/17

    Muchas gracias Antonio, le echare un vistazo ya que no me di mi resultado.

    thumb_up0 voto/sflag