Foro de preguntas y respuestas de Matemáticas

logo beUnicoos
Los foros de unicoos se han unificado en nuestra nueva plataforma beUnicoos. Para dejar nuevas preguntas deberás hacerlo allí, donde además podrás encontrar nuevas asignaturas y herramientas para ayudarte más con tus estudios.

  • icon

    Jose Manuel
    el 30/4/17

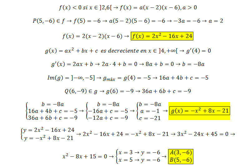
    Alguien me ayuda con el sig eje,no puedo sacarlo

    replythumb_up0 voto/sflag
    icon

    Antonius Benedictus
    el 30/4/17

    Puedes acabarlo tú:


    thumb_up1 voto/sflag
  • icon

    Paul Di Fonzo
    el 30/4/17
    flag

    Alguien me podria hacer estos tres ej por favor? 

    replythumb_up0 voto/sflag
    icon

    Antonius Benedictus
    el 30/4/17


    thumb_up1 voto/sflag
    icon

    Antonius Benedictus
    el 30/4/17


    thumb_up1 voto/sflag
  • icon

    Nahuel Paredes Saavedra
    el 30/4/17

    Ayendeme en este ejercicio porfavor

    replythumb_up0 voto/sflag
    icon

    Antonio
    el 30/4/17
    flag

    El precio fue de 6 euros.

    thumb_up0 voto/sflag
    icon

    Antonio
    el 30/4/17

    sea x el precio antes del mediodía y x-2 el de después

    primera hermana: sea a los pollos vendidos antes del mediodía y 11-a los pollos vendidos después del mediodía

    obtuvo por la venta: ax+(11-a)(x-2)=52 => ax+11x-22-ax+2a=52 => 11x+2a=74

    segunda hermana: sea b los pollos vendidos antes del mediodía y 12-b los pollos vendidos después del mediodía

    obtuvo por la venta: bx+(12-b)(x-2)=52 => bx+12x-24-bx+2b=52 => 12x+2b=76

    tercera hermana: sea c los pollos vendidos antes del mediodía y 10-c los pollos vendidos después del mediodía

    obtuvo por la venta: cx+(10-c)(x-2)=52 => cx+10x-20-cx+2c=52 => 10x+2c=72

    por lo tanto, tenemos:
    11x+2a=74 => a=37-11x/2

    12x+2b=76 => b=38-6x

    10x+2c=72 => c=36-5x

    resolviendo, a, b y c deben ser enteros => x=6


    thumb_up0 voto/sflag
  • icon

    Ivan Gijon Arruabarrena
    el 30/4/17

    Alguien me podria ayudar en estos dos ejercicios? 


    replythumb_up0 voto/sflag
    icon

    Antonius Benedictus
    el 30/4/17


    thumb_up1 voto/sflag
  • icon

    Tatiana Rozo Benavides
    el 30/4/17

    Podrían ayudarme con el siguiente ejercicio por favor :

    Calcular el término general la siguiente sucesión:  1, 4, 9, 16, 25, 38, ...


    replythumb_up0 voto/sflag
    icon

    Antonius Benedictus
    el 30/4/17

    El último término es 36.

    El término general es n^2.

    thumb_up0 voto/sflag
  • icon

    Paula colás
    el 30/4/17

    Se considera el plano pi: 2x+2y-z+1=0.

    Calcula el punto P del plano pi que se encuentra más próximo al punto Q (-1,2,0).

    ¿Sabéis resolverlo?😥

    replythumb_up0 voto/sflag
    icon

    Antonio
    el 30/4/17

    - Halla la recta r que pasa por Q y es perpendicular a π

    - Halla el punto de corte entre r y π

    Ahi lo tienes


    thumb_up1 voto/sflag
  • icon

    Guillem De La Calle Vicente
    el 30/4/17

    Considera los planos de ecuación: x+y-2z+1=0 y -x-y+3z=0. Escribe la ecuación de un tercer plano que pasa por la recta determinada por los dos planos dados.

    replythumb_up0 voto/sflag
    icon

    Antonius Benedictus
    el 30/4/17

    Considera el haz de planos determinado por ambos:

    α(x+y-2z+1)+β(-x-y+3z)=0

    y asigna a los parámetros α y β los valores reales que desees, salvo 0.

    thumb_up0 voto/sflag
  • icon

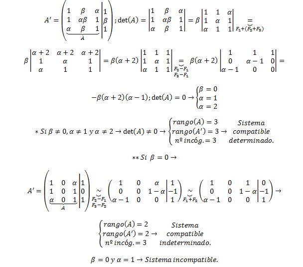
    Álvaro Rodríguez González
    el 30/4/17

    ¿El ejercicio estaría bien resuelto así? Si no lo esta, ¿como se haría? Y otra pregunta, ¿como se si la recta r dada en el ejercicio esta contenida en el plano o corta perpendicularmente al plano?


    replythumb_up0 voto/sflag
    icon

    Antonius Benedictus
    el 30/4/17

    Este ejercicio tiene un enunciado contradictorio:


    thumb_up0 voto/sflag
    icon

    Antonius Benedictus
    el 30/4/17


    thumb_up0 voto/sflag
  • icon

    Guillem De La Calle Vicente
    el 30/4/17

    Se considera:

    - Una función f: ℛ → ℛ tal que existe derivada segunda, la derivada primera es estrictamente creciente ∀x >0 y f(0)=0.

    -Otra función Φ(x)=(f(x))/(x) que es creciente ∀x >0.

    Calcula:

    lim (x --> 0) [Φ(x)]

    lim (x --> 0) [Φ'(x)]

    replythumb_up0 voto/sflag
    icon

    Antonius Benedictus
    el 30/4/17

    Guillem, me gustaría ver el enunciado original.

    thumb_up0 voto/sflag
    icon

    Antonius Benedictus
    el 1/5/17

    Guillem, no me pongas que te he ayudado muchísimo y sube foto del original.

    thumb_up0 voto/sflag
  • icon

    Jose Manuel
    el 30/4/17

    No tengo ni idea de este ejercicio

    replythumb_up0 voto/sflag
    icon

    Antonio
    el 30/4/17

    AX=2X+B

    AX=2IX+B

    AX-2IX=B

    (A-2I)X=B

    X=(A-2I)-1B

    por lo tanto, existirá solución si existe la inversa de (A-2I)

    thumb_up0 voto/sflag