Hola, por favor me podrían explicar por qué ha hecho mi profesor lo que tengo escrito en el ejercicio? Es que no lo entiendo...

Resuelve un sistema compatible indeterminado con tres incógnitas. Pone las y,z en función de x (incógnita libre), le asigna el valor 5λ (por estética, para que no queden denominadores). La recta pasa por (0,-6/5,-13/5) y tiene la dirección del vector (5,11,13) (ecuaciones paramétricas). Pide explicaciones también a tu profesor.

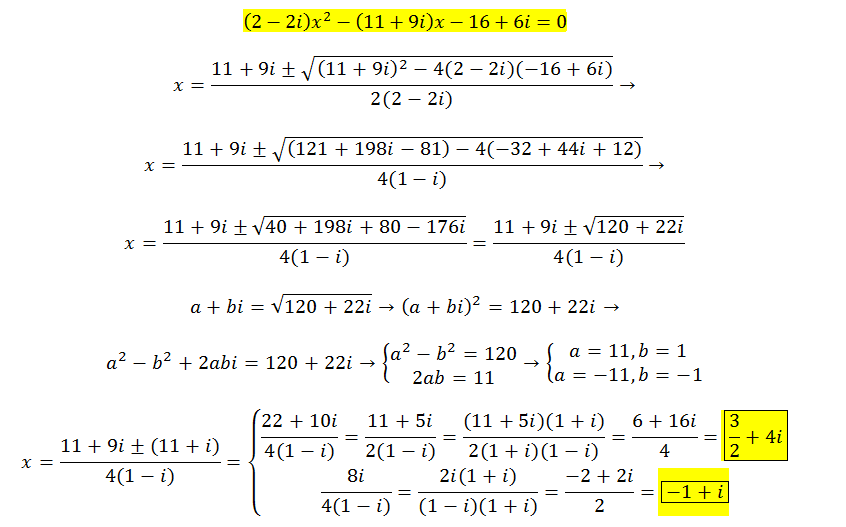
Puedes plantear:
Lím(x→2) f(x) = Lím(x→2) (ax2-8)/x = observa que el límite existe y es directo = (a*22 - 8)/2 = (4a -8)/2 = 4*(a - 2)/2 = 2*(a - 2).
Luego, tienes a en el enunciado:
Lím(x→2) f(x) = - 1, sustituyes y queda:
2*(a - 2) = - 1, haces pasaje de factor como divisor y queda:
a - 2 = - 1/2, haces pasaje de término y queda:
a = - 1/2 + 2 = 3/2.
Espero haberte ayudado.
Buenas noches me pueden ayudar con esta inecuacion: (2x+3)² /8 ≥ x³ + 9x²/2+ 1
Se que el resulatado es [-19/54, ∞), pero lo he tratado de resolver y no coincide. Muchas gracias.![]()
Si es de Universidad, más que fallo, creo que es un ejercicio largo largo.
Enrique, antes de ponerte con el método tienes que repasar la fase previa....(a+b)2=a2+b2+2ab, por lo que (2x+3)2= 4x2+9+12x
A partir de ahí arrastras ese fallo
Y otra cosa...al final, al multiplicar por menos uno la desigualdad se invierte, esto es: ≥ se convierte en ≤
Buenas noches me pueden ayudar con esta inecuacion: (2x+3)² /8 ≥ x³ + 9x²/2+ 1
Se que el resulatado es [-19/54, ∞), pero lo he tratado de resolver y no coincide. Muchas gracias
Recolocando (2x+3)² /8 ≥ x³ + 9x²/2+ 1 yo obtengo 8x^3+32x^2-12x-1≤0 (este polinomio no se puede resolver con Ruffini ni otros métodos de secundaria)
-Tienes que hallar las raíces aproximadas con el método de la bisección o Newton (el que te estén enseñando en la Uni), colocar esas 3 raíces en la recta real y estudiar los intervalos
*Si son negativos 1 o 3 intervalos (número impar) obtendremos un valor negativo, el cuál satisface nuestra inecuación
*Si son negativos 0 o 2 intervalos obtendremos un valor positivo, el cuál NO satisface nuestra inecuación
El dominio (aproximado) estará formado por las 3 raíces aproximadas y los intervalos que satisfagan la inecuación 8x^3+32x^2-12x-1≤0
----------------------
((intenta hacerlo y lo intento corregir))
Si se utilizaron 4 libras de Vitriolo y 20 onzas de hierro y se han obtuvieron
14 onzas y tres adarmes de cobre y sobraron 3 onzas y dos adarmes de
hierro. Suponiendo que el rendimiento de la reacción haya sido del cien por
cien y, teniendo en cuenta que:
1 libra = 460g
1 onza = 287 dg
1 adarme = 179 cg
¿Cuánto debería pesar la disolución verde obtenida? ¿Qué ley aplicas para
calcularlo? (Expresa el resultado en gramos).
Estaria bien? muchas gracias
Hola cómo se resolvería esta ecuación cuadratica
x^4-25x^2=0.
(2x^2+1)^2-5 = (x^2+2)(x^2-2)
Segundo ejercicio:
(2x^2+1)^2-5 = (x^2+2)(x^2-2)
Haciendo binomio al cuadrado a la izquierda y suma por diferencia a la derecha y recolocando obtenemos:
3x4+4x2=0
Cambio de variable: x^2=t
3t2+4t=0
t(3t+4)=0
*t1=0 = x^2= 0=x1
*3t+4=0 -----> t2=-4/3 =x^2 ----------> x=√(-4/3)= No definido en ℛ
SOLUCIÓN: x=0