![]()
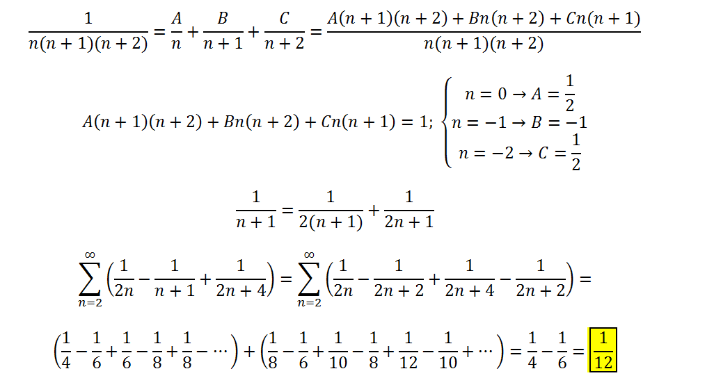
buenas tengo esta serie, sé que se deben hacer fracciones parciales y es una serie telescópica a simple vista, pero me quedan n, n+1 , n+2 b c , y se supone que la telescópica la utilizo con an- an+1....
alguien que la pueda resolver y explicarme si debo agregar algo para que me queden las sumatorias.
Hola Unicoos ser así que me pueden ayudar ya sea con la 13 o la 14 ? En la 13 aplique derivación implícita pero me queda un año función de dos varibñes entonces no se

Revisa este video Recta tangente con derivacion implicita
A partir de ahí, se trata de que DESPUES DE IR A CLASE (ver los vídeos
relacionados con vuestras dudas) enviéis dudas concretas, muy concretas. Y que
nos enviéis también todo aquello que hayais conseguido hacer por vosotros
mismos. Paso a paso, esté bien o mal. No solo el enunciado. De esa manera
podremos saber vuestro nivel, en que podemos ayudaros, cuales son vuestros
fallos.... Y el trabajo duro será el vuestro. Nos cuentas ¿ok? #nosvemosenclase
;-)

Si te dicen inicial, sustituye t=0...
Si te dicen "el primer dia" sustituye t=1...
¿al cabo de 3 semanas? t=21 dias...
Si "t" son segundos y te piden la altura a los cinco segundos, sustituye t por 5...
Se trata de que pienses un poco e intentes hacer algo...
si te piden representar una funcion a trozos, iuna recta, una funcion cuadratica.. Representacion funcion cuadratica, Representacion funcion racional, Función afín .... Funcion a trozos Discontinuidad 01
Se trata de que DESPUES DE IR A CLASE (ver los vídeos
relacionados con vuestras dudas) enviéis dudas concretas, muy concretas. Y que
nos enviéis también todo aquello que hayais conseguido hacer por vosotros
mismos. Paso a paso, esté bien o mal. No solo el enunciado, pero no olvidéis de
adjuntarlo de forma LITERAL, para saber que os piden. De esa manera podremos
saber vuestro nivel, en que podemos ayudaros, cuales son vuestros fallos.... Y
el trabajo duro será el vuestro. Nos cuentas ¿ok? #nosvemosenclase ;-)
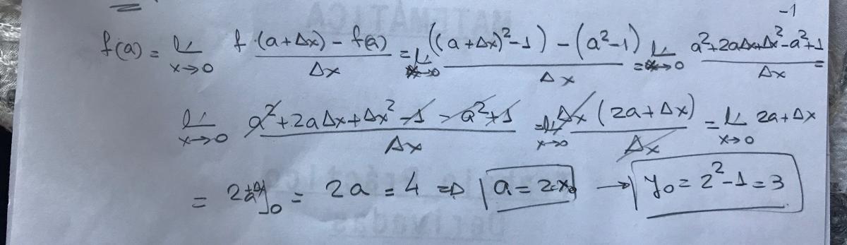
La pregunta es :determine los valores de las constantes a y b , para que la función sea diferenciable en el valor indicado . Yo he hecho esto pero ya no sé cómo avanzar