De todos los rectangulos de area 900m2 , encuentra el que tiene perimetro maximo.

Te sugiero... Optimización, sobre todo el de la ventana o el folio...
Para que no digas... si la base es "x" y la altura "y", el area es 900=x.y...y=900/x...
Y el perimetro, que debes optimizar (derivar, igualar a 0, etc...) será P=2x+2y=2x+2.(900/x)= 2x+1800/x...
Hola, estoy haciendo un ejercicio de probabilidad y hay un dado y una ruleta con los siguientes numeros: 1,2,3,4,5,7,8,9
En el apartado d) dice "Calcula la probabilidad de que la suma de los resultados sea más de 10"
He hecho una tabla y no sé calcular el número de casos posibles, la tabla va hasta el 6 arriba y hasta el 9 abajo, alguien me puede ayudar? Gracias
CASOS FAVORABLES: 7! + 5! + 3! = 5040 + 120 + 6= 5166. Explicado más detalladamente:
*Observa que el número 9 cumple la condición sumandole el 8,7,5,4,3 ó 2, por los que tenemos 7 números (contando el 9) y da igual el orden en que aparezcan; entonces casos posibles con el 9. 7!=5040
*Con el número 8, (y sin contar ya las del 9) cumple la condición junto con 7,5,4,3 por lo que tenemos 5 números. 5!=120
*Con el 7 tenemos al 5 y el 4, por lo que tenemos 3 números. 3!=6
CASOS POSIBLES: 8!= 40320
Probabilidad (de que la suma de los resultados sea más de 10) = casos favorables/casos posibles = 0.128125= 12.8125%

Revisa este video... Continuidad y limites laterales
A partir de ahí, se trata de que DESPUES DE IR A CLASE (ver los vídeos
relacionados con vuestras dudas) enviéis dudas concretas, muy concretas. Y que
nos enviéis también todo aquello que hayais conseguido hacer por vosotros
mismos. Paso a paso, esté bien o mal. No solo el enunciado. De esa manera
podremos saber vuestro nivel, en que podemos ayudaros, cuales son vuestros
fallos.... Y el trabajo duro será el vuestro. Nos cuentas ¿ok? #nosvemosenclase
;-)
necesito ayuda porfavor :)
1º Sea la función: y= elevado a la 2 / x-2
Se pide:
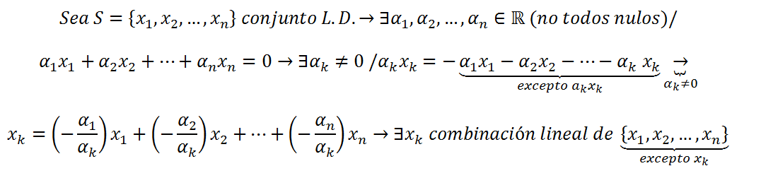
Hola buenas tardes, tengo dudas acerca de esta afirmación la cual creo que es falsa pero no estoy seguro. "s un conjunto es LD , entonces todo vector del conjunto puede expresarse como CL de los restantes" eso cierto esto?
Preguntas sobre la convergencia de una serie infinita
Si la sucesión de sumas parciales de una serie infinita
está limitado, demuestra que
es convegente por t>0
Solicitud: En realidad no necesito una respuesta directa, estoy estudiando series infinitas desde el último par de días. Así que no entiendo completamente esta cosa. Es por eso que quiero entender el proceso para resolver este tipo de problemas.
Gracias