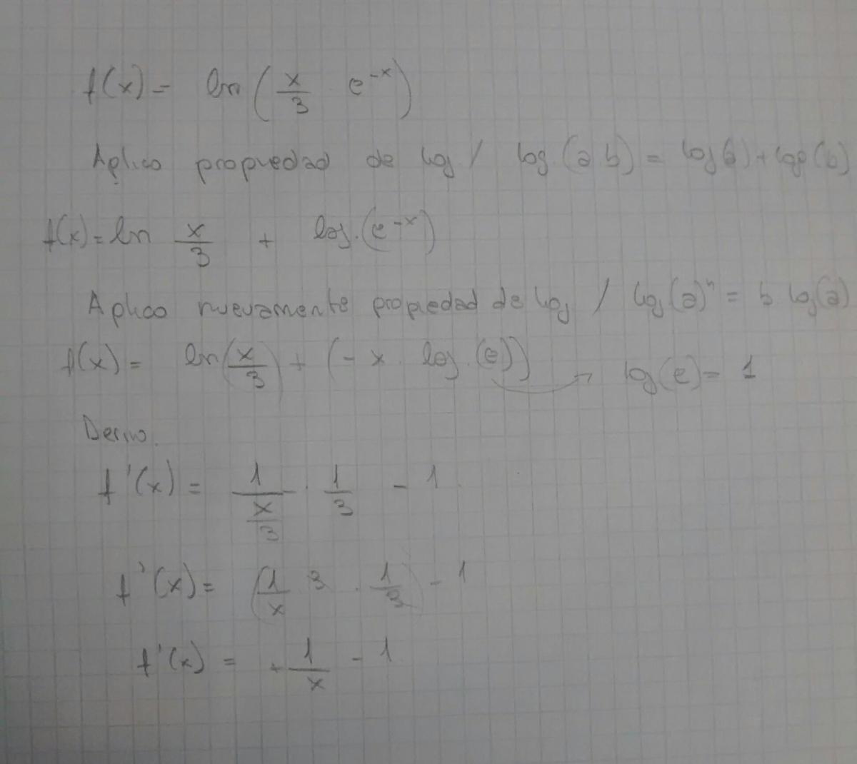
Si el dominio de una funcion polinomica son todos los numeros reales, entonces si tengo un polinomio negativo tipo f (x)=-x^3+x^2-5 su dominio sería todos los numeros reales?? Gracias de antemano
¿Me puedes ayudar a realizar operaciones con números enteros?
Como por ejemplo: -3+8+9-5(2-9)=...
Para formar números mayores que 7500 tenemos estas posibilidades (el símbolo _ denota cualquier número que no hayamos usado en la cifra previamente):
*8 _ _ _ <---------------- 8237 8273 8327 8372 8723 8732 (3!=6posibilidades)
*78 _ _ <--------------- 7823 7832 (2!=2 posibilidades)
Números que podemos formar con las 4 cifras sin poner ningún tipo de restricción: 4!= 4*3*2*1= 24 posibilidades
Utilizando Laplace (Probabilidad número sea > 7500 =Número de casos posibles/Casos favorables
P(n>7500)= (6+2)/24= 8/24= 1/3

1) Observa que si la primera cifra es 7, tienes que la segunda cifra debe ser 8, y los números posibles son:
7823 y 7832 (en total: N1 = 2 posibilidades),
y observa que 2 no puede ser segunda cifra y que 3 no puede ser segunda cifra, para que se cumpla la condición del enunciado.
2) Observa que si la primera cifra es 8, tienes que puedes colocar las otras tres con libertad, y los números posibles son:
8237. 8273. 8327. 8372. 8723, 8732 (en total: N2 = 6 posibilidades).
Oberva que 2 no puede ser primera cifra y que 3 no puede ser primera cifra, para que se cumpla la condición del enunciado.
Luego, por el principio de adición, la cantidad de posibilidades favorables al suceso (A) del enunciado es:
NA = N1 + N2 = 2 + 6 = 8.
Luego, la cantidad de números con cuatro cifras distintas que podemos formar con 2, 3, 7 y 8 es:
N = V(4,4) = 4!/(4-4)! = 4!/0! = 24/1 = 24.
Por último, la probabilidad favorable al suceso del enunciado es:
p(A) = NA/N = 8/24 = 1/3.
Espero haberte ayudado.

En el triángulo ADC, calcula AC por el Teorema del coseno:
AC^2 =105^2+126^2-(2·105·126·cos58º)
Utiliza el Teorema del Coseno en el triángulo ABC para hallar el ángulo B.
El área de un triángulo es la mitad del producto de dos de sus lados por el seno del ángulo que forman. Entonces:
(1/2)(AD·DC)·sinD +(1/2)·68·72·sinB
Una pregunta de Infimum!
Sea X un espacio de Banach, f: X → ℛ es una funcionalidad continuamente diferenciable, entonces f alcanza su infimum? ¿Me pueden ayudar a demostrarlo?

Me encantaría ayudarte, pero no respondo dudas universitarias que no tengan que ver específicamente con los videos que ya he grabado como excepcion. O de otras asignaturas que no sean matemáticas, física y química. Lo siento de corazón… Espero lo entiendas
Ojalá algun unicoo universitario se anime a ayudarte (de hecho lo ideal es que todos los universitarios intentarais ayudaros los unos a los otros)
Debo calcular el rango de la matriz 2 -5 3
1 -2 1
5 1 7
Me salé 3 hasta allí ningún problema, pero me pide decir si añadimos una fila más a la matriz el resultado sera el rango (3) +1. La respuesta es no, pero no sé ¿EL PORQUÉ?