
(x²+1)/(x+1) -ax-b = (x²+1)/(x+1) -(ax+b)= (x²+1)/(x+1) -(ax+b)(x+1)/(x+1) = [x²+1 -(ax²-ax-bx-b)]/(x+1) = [x²+1 -ax²+ax+bx+b]/(x+1)
Si a≠1 te quedaría una fraccion con el grado del numerador mayor que el del denominador y el limite sería infinito.
Por tanto a=1, para empezar... en ese caso tendríamos... limx->∞ [1+x+bx+b]/(x+1) ...
Si b≠-1 te quedaría una fraccion con el grado del numerador igual que el del denominador. Y el limite no sería igual a 0...
Si b=-1, te quedaría el limx->∞ ( [1+b]/(x+1) ... Y ese limite es igual a cero...
Ese es el procedimiento, la regla de la cadena se aplica a funciones compuestas, es decir f=f(g(x)), en este caso aplicas regla de la cadena en las funciones u y v, pero el primer paso es aplicar la derivada del cociente, puesto que no se trata al inicio de una función compuesta, solo es una división de dos funciones.
Luego de aplicar la propiedad de la derivada del cociente aplicamos la regla de la cadena al momento que decimos: u'=2*(t-2)*(1), puesto que primero derivas la función cuadrática y luego derivas su argumento, lo mismo en el caso de la función 'v'. Al menos el procedimiento utilizando regla de la cadena es el que te he mostrado.
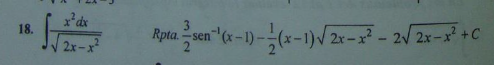
Hola buenas noches! Estoy hace un montón tratando de resolver este ejercicio y no me doy cuenta que estoy haciendo mal, si alguien me podría ayuda, se lo agradeceria muchisimo .
Muchas gracias,
Saludos.
Te doy una ayuda María Laura, considera un plano cualquiera π: Ax+By+Cz+D=0 y un punto P(xo ,yo ,zo ), para esto debes trabajar a través de la distancia de un punto a un plano definido por la siguiente expresión :
d(P,π) = |Axo+Byo+Czo+D|/(√(A^2+B^2+C^2)) , es decir que solo trabajarás con los coeficientes de x, y y z y el término independiente de la ecuación del plano y las coordenadas del punto.
Dicha expresión te va a quedar en función de 'a', con lo cual podrás comenzar a probar con distintos valores de 'a' según lo que te dicen y verificar cual enunciado es correcto.
Saludos.
BUENAS TARDES, TENGO UNA DUDA DE ESTADISTICAS, ESPECIFICAMENTE DE DIAGRAMA DE VENN.
ME DICEN PREGUNTA B) La probabilidad de que pida permiso solo por dos motivos. (SON 3 MOTIVOS LOS QUE ME PLANTEA EL EJERCICIO)
Como seria?, esta bien lo que yo he puesto ahí??
ADJUNTO EJERCICIO TAMBIEN COMPLETO



https://www.youtube.com/watch?v=4sHulCSqY-g
https://www.youtube.com/watch?v=gtFMGezy4m4
los apartados 2.3 y 4 el 2 y 4 piden lo mismo no? con distinta m pero que hago con la x del 3

Tienes que discutir el sistema, resolverlo cuando m=3 (dependerá de si es SCD o SCI)...
Al discutirlo podrás saber también que ocurre cuando m=2...
Te sugiero nos envies una foto con la discusion del sistema (deberías seguir estos videos)...
Discutir un sistema 01 - ROUCHE