Foro de preguntas y respuestas de Matemáticas

logo beUnicoos
Los foros de unicoos se han unificado en nuestra nueva plataforma beUnicoos. Para dejar nuevas preguntas deberás hacerlo allí, donde además podrás encontrar nuevas asignaturas y herramientas para ayudarte más con tus estudios.

  • icon

    jorge enrique bueno monje
    el 27/4/17

    Estaré muy agradecido con la persona que me diga si está bien el procedimiento utilizado para llevar a cabo la siguiente demostración:

    Muchas gracias de antemano. 

    replythumb_up0 voto/sflag
    icon

    Ángel
    el 27/4/17

    Creo que indujiste perfectamente.

    thumb_up1 voto/sflag
  • icon

    Hanan
    el 27/4/17

    en los ecuaciones se puede simplificar los resultados??

    replythumb_up0 voto/sflag
    icon

    Ángel
    el 27/4/17

    Si tienes la oportunidad, debes hacerlo.

    Manda un ejemplo para que podamos ayudarte.

    thumb_up0 voto/sflag
    icon

    Hanan
    el 27/4/17

    este es el ejercicio

    (x-1)2=(x+2)2-21

    y graciaaaaaas

    thumb_up0 voto/sflag
    icon

    Ángel
    el 27/4/17

    Tienes que desarrollar los dos binomios y obtienes:

    (x2+1-2x)=(x2+4+4x) -21

    Quitas paréntesis:

    x2+1-2x=x2+4+4x -21

    Equis a un lado y términos independientes al otro:

    6x=18

    Simplificamos:

    x=18/6

    x=3

    thumb_up0 voto/sflag
  • icon

    Guillem De La Calle Vicente
    el 27/4/17
    flag

    Siendo n un número natural.

    Demuestra de forma directa y por el contrarecíproco que si n³ es múltiplo de 3, entonces n es múltiplo de 3.

    replythumb_up0 voto/sflag
    icon

    David
    el 30/4/17

    Me encantaría ayudarte, pero no respondo dudas universitarias que no tengan que ver específicamente con los videos que ya he grabado como excepcion. O de otras asignaturas que no sean matemáticas, física y química. Lo siento de corazón… Espero lo entiendas

    thumb_up0 voto/sflag
  • icon

    Hanan
    el 27/4/17

    como se calcula los siguientes ecuaciones eliminando primero los denominadores??

    x-2x-5      = 3x-1

          12            4

    graciaaaaas




    replythumb_up0 voto/sflag
    icon

    Ángel
    el 27/4/17

    mcm(12,4)=12

    (x-2x-5)/12    = (9x-3)/12

    x-2x-5=9x-3

    10x=2

    x=1/5

    thumb_up0 voto/sflag
  • icon

    Skaiacraft
    el 27/4/17

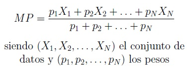
    alguien me explica la media ponderada?? (1 ESO) Gracias ❤️

    replythumb_up0 voto/sflag
    icon

    Guillem De La Calle Vicente
    el 27/4/17

    La media ponderada (MP) es una medida de centralización. Consiste en otorgar a cada observación del conjunto de datos (X1,X2,…,XN) unos pesos (p1,p2,…,pN) según la importancia de cada elemento.

    Cuanto más grande sea el peso de un elemento, más importante se considera que es éste.

    La media ponderada tiene numerosas aplicaciones, por ejemplo, la nota de una asignatura donde el examen final tiene un peso mayor al de un trabajo. O en el cálculo del IPC (Índice de Precios de Consumo). El IPC es un indicador de los precios de los bienes y servicios básicos que consume la población. Para calcularlo, se otorga pesos a los diferentes bienes (pan, fruta, vivienda,…) y se calcula la media ponderada.

    La media aritmética es un caso particular de media ponderada, en la que todos los pesos son uno, ya que a todos los elementos se les otorga la misma importancia.

    thumb_up1 voto/sflag
  • icon

    carla R
    el 27/4/17

    hola!, se trabajar con sistema y parámetros, pero este es un poco más complejo y no me sale, gracias

    replythumb_up0 voto/sflag
    icon

    Guillem De La Calle Vicente
    el 27/4/17


    thumb_up1 voto/sflag
    icon

    Guillem De La Calle Vicente
    el 27/4/17


    thumb_up1 voto/sflag
    icon

    carla R
    el 27/4/17

    en la primera imagen, la matriz está mal no'? la ultima fina no iria m+2 en vez de 0?

    thumb_up0 voto/sflag
    icon

    Guillem De La Calle Vicente
    el 27/4/17

    No, porque no aparece (m+2)z, sino que aparece m+2 por tanto es parte del término independiente y no de la z.


    thumb_up1 voto/sflag
  • icon

    Guillem De La Calle Vicente
    el 27/4/17

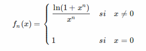
    (a)Dado n ∈ ℕ, estudia la continuidad de

    (b) Demuestra que x=0 es un extremo de fn(x) si, y sólo si, n es par. Demuestra también que, entonces, el extremo es un máximo.

    replythumb_up0 voto/sflag
    icon

    Antonius Benedictus
    el 27/4/17


    thumb_up0 voto/sflag
  • icon

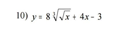
    David Avalos Fernàndez
    el 27/4/17

     tengo que encontrar la primera derivada. Alguien me podría ayudar, y explicar un poco si pudiera. GRACIAS🙄

    replythumb_up0 voto/sflag
    icon

    Ángel
    el 27/4/17

    y= 8x1/6+4x-3

    y´=(1/6*8)x1/6-1 +4

    y´=(8/6)x-5/6 +4

    y´=8/(6x5/6) +4

    y´=8/(66x5) +4


    thumb_up0 voto/sflag
    icon

    Guillem De La Calle Vicente
    el 27/4/17


    thumb_up0 voto/sflag
  • icon

    Paula Sánchez
    el 27/4/17

    me podrían factorizar x3 + 2x2 + 2x +2 ? lo he intentado por Ruffini pero he probado con millones de números y no me da con ninguno

    replythumb_up0 voto/sflag
    icon

    Guillem De La Calle Vicente
    el 27/4/17

    No se puede factorizar más.

    thumb_up0 voto/sflag
    icon

    Ángel
    el 27/4/17

    Con Ruffini no puedes...podrías obtener una raíz aproximada por el método de Newton (sólo obligatorio en la universidad)

    thumb_up0 voto/sflag
    icon

    Hanan
    el 27/4/17

    no te da con ningún numero porque no se puede  factorizar

    thumb_up0 voto/sflag
  • icon

    Paula Sánchez
    el 27/4/17

    Me podrían resolver el ejercicio 13. b) ? MUCHISIMAS GRACIASSSS¡¡¡¡¡¡

    replythumb_up0 voto/sflag
    icon

    Guillem De La Calle Vicente
    el 27/4/17


    thumb_up0 voto/sflag