Tienes un minuto para escribir el número más grande que puedas. ¿Cuál es su estrategia?
Estás compitiendo con otros que tienen el mismo escenario.
Resaltando, se permiten símbolos, ctrl + c y ctrl + v.
Toma todo el tiempo la misma cantidad de tiempo para resaltar, copiar y pegar.
El número no tiene que estar en la forma más simple.
mañana tengo examen de ecuaciones de segundo grado y no se hacer las incompletas faltando el termino independiente
Sea n un número natural.
Demuestra de forma directa que n³ es múltiplo de 3, si n es múltiplo de 3.

Puedes plantear:
n es múltiplo de 3, entonces n = 3*k, con k ∉ Z (1);
luego planteas:
n3 = sustituyes la expresión señalada (1) = (3*k)3 = 33* k3 = 27*k3 = 3*9*k3 = 3*(9*k3) = 3*m,
donde m = 9*k3 ∉ Z, por ser un producto de un entero por el cubo de otro entero, que también es entero,
por lo que concluyes que n3 es múltiplo de 3.
Espero haberte ayudado.
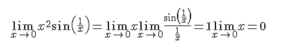
Hola amigos de unicoos, estar trabajando en este ejercicio, en el cual calcule el limite en dos variables y me da 1 usando infinitesimos pero no puedo demostrar ese limite por definicion con ![]()

Me encantaría ayudarte, pero no respondo dudas universitarias que no tengan que ver específicamente con los videos que ya he grabado como excepcion. O de otras asignaturas que no sean matemáticas, física y química. Lo siento de corazón… Espero lo entiendas
Ojalá algun unicoo universitario se anime a ayudarte (de hecho lo ideal es que todos los universitarios intentarais ayudaros los unos a los otros)