Buenas tardes inicios estaba resolviendo esta integral pero me daba cuenta que lo estaba haciendo mal porque se me iba creciendo las partes de las integrales tomadas por integrales por partes es esta:integral de e^3x dividido entre 3x
Hola me podríais ayudar con una integral?
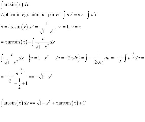
integral de arsenx
se que es una integral cicilica pero y si la realizo hay un punto en el que llego a arseno x menos la integral de X/ la raix de 1-x*2, no se supone que tu tienes que seguir integrando por partes.. de forma que esra integral te queda X por (1-x*2) todo ello elevado a menos un medio al ser una raiz... no seberias llamar U a la raiz y dv a x ... para continuar..
En la solucion me pone que llamas U a 1-x*2 y eso lo derivas.. por que?
¿Ecuaciones diferenciales de orden uno?
¿Alguien podría ayudarme a resolver esta E.D con cambio de variable? ¡Gracias!
xy =(e^xy)-y
y(1)=1

Si la ecuación diferencial es: x*y ' = exy - y, con la condición inicial: y(1) = 1,
puedes plantear un cambio de variable dependiente:
xy = w (1), derivas implícitamente con respecto a x y queda:
1*y + x*y ' = w ', haces pasaje de término y queda: x*y ' = w ' - y (2).
Luego sustituyes en la ecuación diferencial del enunciado y queda:
w ' - y = ew - y, haces pasaje de término (observa que tienes cancelación de términos opuestos) y queda:
w ' = ew, expresamos w ' como cociente entre diferenciales y queda:
dw/dx = ew, haces pasaje de divisor como factor y queda:
dw = ew*dx, haces pasaje de factor como divisor y queda:
dw/ew = dx, expresas el divisor como factor con exponente negativo y queda:
e-w*dw = dx, integras miembro a miembro y queda:
- e-w = x + C, sustituyes la expresión señalada (1) y queda:
- e-xy = x + C,
que es una solución general implícita de la ecuación diferencial del enunciado;
luego, reemplazas la condición (x = 1 e y = 1) inicial y queda:
- e-1 = 1 + C, haces pasaje de término y queda: - e-1 - 1 = C,
luego reemplazas en la solución general y queda:
- e-xy = x - e-1 - 1,
que es la solución particular implícita de la ecuación diferencial del enunciado, de acuerdo a la condición inicial.
Espero haberte ayudado.