Hola! Pregunta cual sería la razón geométrica en esta sucesión :
a; a +3 ; 5a - 3 ; 8a.

Llamamos a los elementos de la sucesión geométrica:
A1 = a, A2 = a+3, A3 = 5a-3, A4 = 8a.
Luego, a partir de la expresión del elemento general de una sucesión geométrica (designamos a la razón con q), tenemos:
An = A1*qn-1, con n ∉ N, n ≥ 1, reemplazamos valores y tenemos las ecuaciones:
a+3 = a*q
5a-3 = a*q2
8a = a*q3
Hacemos pasaje de factor como divisor en la tercera ecuación y queda: 8 = q3, hacemos pasaje de potencia como raíz y queda: 2 = q:
Luego, reemplazamos el valor remarcado en las dos primeras ecuaciones y queda:
a+3 = a*2
5a-3 = a*4.
Haces pasaje de término en la primera ecuación y queda: 3 = a.
Reemplazas en la última ecuación y queda: 12 = 12, que es una identidad verdadera que verifica la validez de la solución: q = 2, a = 3.
Por último, los elementos de la sucesión son: 3, 6, 12, 24.
Espero haberte ayudado.
Metrizabilidad de topología débil en espacio separable de Hilbert
La topología débil* en el dual de un espacio separable es metrizable. En un espacio de Hilbert, la topología débil y la topología débil* coinciden, y el dual del espacio de Hilbert es él mismo. Así, en un espacio separable de Hilbert, la topología débil es metrizable.
¿Cuál es el error en el razonamiento aquí? Debe haber un error debido al ejemplo {√(n)en} siendo un conjunto cuyo cierre débil incluye 0 pero ninguna secuencia en el conjunto converge débilmente a 0.
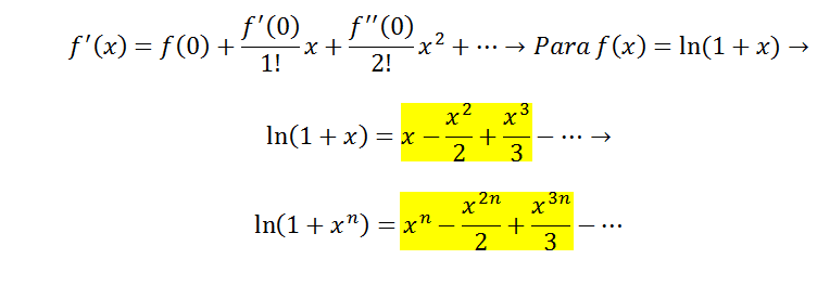
Escribe el polinomio de Taylor de orden 3, a x=0, de ln(1+x). Deduzca los tres primeros términos del polinomio de Taylor, a x=0, de ln(1+xn).
Buenos dias, he realizado estos ejercicios de interpretaciòn de gràficas, me han dado los datos y yo he tenido que graficar. Tengo dudas sobre todo en el ejercicio B,
una pregunta sencilla para hallar la derivavilidad de una funcion se supone que igualar sus derivadas a cero y posteriormente ver que pasa en cada intervarlo.. en el caso de tener una hiperbola en el que la derivada no se puede igualar como lo resuelvo![]()
Una función es creciente si su derivada es positiva y es decreciente si su derivada es negativa
por lo tanto como tu bien dices
para hallar la derivavilidad los intervalos de crecimiento y decreciemiento de una función se supone que igualar sus derivadas a cero y posteriormente ver que pasa en cada intervalo
donde se hace cero habrá un máximo o un mínimo (tb puede haber un pto de inflexión)
unicoss !! buenas noches ,si me ayudarian para resolver estas ecuaciones simultaneas,estoy en el tema de que apartir de las ecuaciones o funciones que nos dan,tenemos que determinar nuestra integral definida y asi obtener el area de la region limitada por las graficas de las sig.ecuaciones, por lo tanto mi duda es como sacar los puntos de interseccion a partir de estas tres ecuaciones que me presenta el problema.
y=X^2-4
y=8-2X^2
y=0
Tienes que igualar a cero para sacar los puntos de intersección, al resolver las dos ecuaciones de 2º grado obtienes los puntos x=-2, x=2 en ambas
Al sustituir x por cero obtenemos el pto de corte en el eje Y: y=8 (máximo en la parábola convexa y=8-2x2), e y=-4(mínimo en y=x2-4)
y=0 representa el eje horizontal.